М
Молодежь
К
Компьютеры-и-электроника
Д
Дом-и-сад
С
Стиль-и-уход-за-собой
П
Праздники-и-традиции
Т
Транспорт
П
Путешествия
С
Семейная-жизнь
Ф
Философия-и-религия
Б
Без категории
М
Мир-работы
Х
Хобби-и-рукоделие
И
Искусство-и-развлечения
В
Взаимоотношения
З
Здоровье
К
Кулинария-и-гостеприимство
Ф
Финансы-и-бизнес
П
Питомцы-и-животные
О
Образование
О
Образование-и-коммуникации
didocfofiffi
didocfofiffi
11.12.2021 16:33 •  Математика

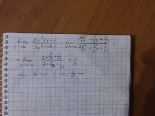
Lim стремится бесконечность 2x^3+x+1/3x^3+x^2+1

👇
Ответ:
РУСЛАН113228
РУСЛАН113228
11.12.2021

Пошаговое объяснение:



Lim стремится бесконечность 2x^3+x+1/3x^3+x^2+1
4,8(89 оценок)
Ответ:
katya0913
katya0913
11.12.2021

Відповідь:на фото...............


Покрокове пояснення:



Lim стремится бесконечность 2x^3+x+1/3x^3+x^2+1
4,4(55 оценок)
Открыть все ответы
Ответ:
047897
047897
11.12.2021
1) -5x-3=3x+1
    -5x-3x=1+3
    -8x=4
  x=-0,5
если х=-0,5,то:
у= -5*0,5-3
у=-5,5
(0,5;-5,5) координаты точки при пересечении двух прямых графика данной функции.
 2)-4x+3=1/2x+3
   -4x-1/2x=0
x=0
если х=0,то:
 у=1/2x+3
y=3
(0;3)  координаты точки при пересечении двух прямых графика данной функции.
3)-2x-10=-x-7
   -2x+x=-7+10
   -1x=3
   x=-3
если х= -3 ,то:
 у=-3-7
у=-10
(-1,-10) координаты точки при пересечении двух прямых графика данной функции.

4)0,5+4=2х+4
  -2х=4-4-0,5
-2х=-0,5
х=0,25 
еcли х=0,25 то:
у=2*0,25+4
у=4,5
  (0,25;4,5) координаты точки при пересечении двух прямых графика данной функции.
 
   
4,5(94 оценок)
Ответ:
2йошник
2йошник
11.12.2021
Согласен с первым ответившим, в первой паре уравнений линейных функций - это 8, во второй это 6, в третьей - это (-7), и в четвёртой - это 4. Фокус прост Такие графики будут параллельны, если будут отличаться только постоянной величиной, то есть, той, возле которой не стоит никакая переменная. Всё остальное должно или совпасть, или быть в разы (и Х и У - одинаково) больше или меньше. Пример: 3У=2Х + 4, и ему соответствующая пара, скажем, 12У=8Х. Заметь, в последнем уравнении совсем нет постоянного слагаемого, оно просто считается равным 0, и это означает, что именно, график этой функции прой дёт через центр координат. Успехов в математике!
4,4(33 оценок)
Это интересно:
Новые ответы от MOGZ: Математика
logo
Вход Регистрация
Что ты хочешь узнать?
Спроси Mozg
Открыть лучший ответ