М
Молодежь
К
Компьютеры-и-электроника
Д
Дом-и-сад
С
Стиль-и-уход-за-собой
П
Праздники-и-традиции
Т
Транспорт
П
Путешествия
С
Семейная-жизнь
Ф
Философия-и-религия
Б
Без категории
М
Мир-работы
Х
Хобби-и-рукоделие
И
Искусство-и-развлечения
В
Взаимоотношения
З
Здоровье
К
Кулинария-и-гостеприимство
Ф
Финансы-и-бизнес
П
Питомцы-и-животные
О
Образование
О
Образование-и-коммуникации
polina9898798788
polina9898798788
27.04.2021 05:23 •  Математика

Запишите частное в виде дроби и выделите из полученной дроби целую и дробную часть 1)8: 5 2)54: 7 3) 45: 13 37

👇
Ответ:
dedrina
dedrina
27.04.2021
Вот, надеюсь всё понятно
Запишите частное в виде дроби и выделите из полученной дроби целую и дробную часть 1)8: 5 2)54: 7 3)
4,4(85 оценок)
Ответ:
povolyasha
povolyasha
27.04.2021
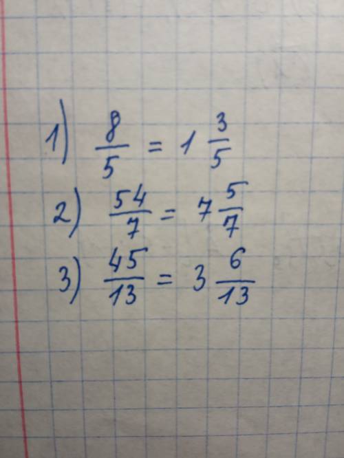
\bf1) \frac{8}{5} = 1 \frac{3}{5}

\bf2) \frac{54}{7} = 7 \frac{5}{7}

\bf3) \frac{45}{13} = 3 \frac{6}{13}
4,6(93 оценок)
Открыть все ответы
Ответ:
wwwvadimsokol
wwwvadimsokol
27.04.2021
Задача на выполнение арфиметических действий с дробями. 
Для решения, нужно привести дроби к общему знаменателю.
Чтобы привести дроби к общему знаменателю, нужно найти их НОК (Наименьшее общее кратное), а затем каждую дробь домножить на коэфициент такой, чтобы дроби имели одинаковые знаменатели. Затем можно записать общий знаменатель, а все арифметические операции выполнить между числами числителей.

А)1/12+1/9+5/6= 3/12 + 4/36+ 30/36=37/36=1 целая 1/36
Б) 7/8-4/5+1/20=35/40-32/40+2/40=5/40= 1/8
В) 4/15+2/5+1/6=8/30+12/30+5/30=25/30=5/6
Г) 11/18-5/12-1/9=22/36-15/36-4/36=3/36=1/12
4,6(27 оценок)
Ответ:
mohammadroshann
mohammadroshann
27.04.2021
Составим уравнение для 1-го : t(v+2)=20км; Для 2-го: v(t+1/3)=20км; Из равенства уравнений имеем: t(v+2)=v(t+1/3); Преобразуя получим: 6t=v; Подставив v в 1-е уравнение и преобразуя имеем: 3t^2+t-10=0; Решая уравнение получим время 5/3;(не подходящий 2-й корень отметаем); Откуда скорость 2-го будет равна 6t=6*5/3=10км/час Откуда получим Скорость 2-го будет 10км/час 1-го 10+2=12 ответы:V1=12км/час; V2=10км/час 2-й Решение через время: t=S/V; 20/(v+2)=20/v+1/3;преобразуя получим уравнение: 60v=60(v+2)+(v+2)v ; V^2+2V-120=0; По теореме Виетта находим корни: (V-10)(V+12)=0; V2=10км/ч ( второй корень не подходит т.к. Он отрицательный); V1=10+2=12км/ч V1=12км/ч
4,6(43 оценок)
Новые ответы от MOGZ: Математика
logo
Вход Регистрация
Что ты хочешь узнать?
Спроси Mozg
Открыть лучший ответ