М
Молодежь
К
Компьютеры-и-электроника
Д
Дом-и-сад
С
Стиль-и-уход-за-собой
П
Праздники-и-традиции
Т
Транспорт
П
Путешествия
С
Семейная-жизнь
Ф
Философия-и-религия
Б
Без категории
М
Мир-работы
Х
Хобби-и-рукоделие
И
Искусство-и-развлечения
В
Взаимоотношения
З
Здоровье
К
Кулинария-и-гостеприимство
Ф
Финансы-и-бизнес
П
Питомцы-и-животные
О
Образование
О
Образование-и-коммуникации
Dj669
Dj669
27.01.2022 15:46 •  Математика

Вурне 8 белых, 6 синих и 2 красных шаров. наугад выбирают 6 шаров. найдите вероятности следующих событий: 1. a –– среди выбранных только белые шары; 2. в –– среди выбранных поровну шаров всех цветов.

👇
Ответ:
dankillyou2014
dankillyou2014
27.01.2022

8 бел+6 син+2 кр = 16 шаров всего , вынимают 6 шаров .

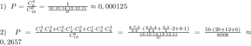
1)\; \; P=\frac{C_6^6}{C_{16}^6}=\frac{1}{\frac{16\cdot 15\cdot 14\cdot 13\cdot 12\cdot 11}{6!}}\approx 0,000125\\\\\\2)\; \; P=\frac{C_6^3\cdot C_8^3+C_6^2\cdot C_2^1\cdot C_8^3+C_6^1\cdot C_2^2\cdot C_8^3}{C_{16}^6}=\frac{\frac{8\cdot 7\cdot 6}{3\cdot 2}\cdot (\frac{6\cdot 5\cdot 4}{3\cdot 2}+\frac{6\cdot 2}{2}\cdot 2+6\cdot 1)}{\frac{16\cdot 15\cdot 14\cdot 13\cdot 12\cdot 11}{6!}}=\frac{56\cdot (20+12+6)}{8008}\approx 0,2657

4,4(23 оценок)
Открыть все ответы
Ответ:
dimakurda
dimakurda
27.01.2022
Найдем общий определитель матрицы 

∆  =  3х20yzx4y3z2x3y4z  =  nan

так как определитель основной матрицы не равен нулю, то найдем остальные определители. первый определитель получается заменой первого столбца на столбец из правой части системы уравнений:  

∆1  =  1320yz154y3z223y4z  =  nan

второй определитель получается заменой второго столбца на столбец из правой части системы уравнений:

∆2  =  3х13zx153z2x224z  =  nan

третий определитель получается заменой третьего столбца на столбец из правой части системы уравнений:  

∆3  =  3х20y13x4y152x3y22  =  nan

осталось найти переменные х1, х2   и х3

x1  =  ∆1∆  =  nannan  =  nan

x2  =  ∆2∆  =  nannan  =  nan

x3  =  ∆3∆  =  nannan  =  nan

4,6(46 оценок)
Ответ:
blondi29
blondi29
27.01.2022

швейную машинку можно не смазывать , она может работать и так. но - если уделять ей внимание, периодически смазывать - шить будет лучше, тише, и прослужит она дольше. ухода машинка требует нечасто, и он совсем несложный, времени занимает совсем немного. 

масло для смазки обычно вместе с машинкой продаётся, но всегда можно отдельно докупить.

смазывать машину нужно раз в полгода или раз в год, а очищать от пыли - чаще. всё зависит от типа тканей, с которыми вы в основном работаете. особенно много мелкой пыли дает трикотаж, шерстяные ткани и мех. после работы с ними нужно косметической кисточкой пройтись по поверхности машинки, смахнуть ворс и пыль под крышками, под игольной пластинкой, под челноком.  после шитья подложите под лапку небольшой кусочек ткани, например джинсы. и закройте чехлом.внимательно подбирайте нитки и иглы в соответствии с типом ткани.иголки нужно вовремя менять, старые затуплённые - выбрасывать.

два главных действия по уходу - регулярно чистить и иногда смазывать, всё!

своевременная чистка и смазка обеспечивает легкость хода, бесшумность работы, увеличивает срок службы оборудования. смазку надо производить только в определенных местах, где возникает трение, приводящее к преждевременному износу деталей нарушению связей между ними и в конечном итоге, к неполадкам в работе машины и ее порче.

инструменты для чистки, смазки машинки и замены иглы:   отвертки, кисточки, масленки с машинным маслом. носик масленки глубоко вводят в отверстия и капают по 1-2 капли. чтобы смазка была равномерной и детали лучше притирались  необходимо несколько раз повернуть маховое колесо на себя.

чистка механизма двигателя ткани: игольную пластину снимают для чистки зубчатой рейки, ослабив два винта на пластине.  челночный комплект разбирается по схеме из инструкции к машине. детали лучше всего строго последовательно разложить на столе, это облегчит их установку при сборке.

4,7(62 оценок)
Это интересно:
Новые ответы от MOGZ: Математика
logo
Вход Регистрация
Что ты хочешь узнать?
Спроси Mozg
Открыть лучший ответ