М
Молодежь
К
Компьютеры-и-электроника
Д
Дом-и-сад
С
Стиль-и-уход-за-собой
П
Праздники-и-традиции
Т
Транспорт
П
Путешествия
С
Семейная-жизнь
Ф
Философия-и-религия
Б
Без категории
М
Мир-работы
Х
Хобби-и-рукоделие
И
Искусство-и-развлечения
В
Взаимоотношения
З
Здоровье
К
Кулинария-и-гостеприимство
Ф
Финансы-и-бизнес
П
Питомцы-и-животные
О
Образование
О
Образование-и-коммуникации
kamillagabbasoVa
kamillagabbasoVa
07.07.2020 00:04 •  Математика

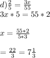
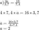
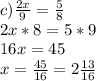
A)4a : 3,7 = 16 : 7,4 b)5x : 3 = 0,3 : 5 c)\frac{2x}{9} = \frac{5}{8} d)\frac{2}{5} = \frac{3x}{55} зарание !

👇
Ответ:
radacherepkova
radacherepkova
07.07.2020

a) \frac{4a}{3,7} =\frac{16}{7,4} \\\\4*7,4*a=16*3,7\\\\a=\frac{16*3,7}{4*7,4} \\a=2\\

b) \frac{5x}{3} =\frac{0,3}{5} \\5x*5=0,3*3\\25x=0,9\\x=\frac{0,9}{25} \\x=0,036

c)\frac{2x}{9} = \frac{5}{8}\\2x*8=5*9\\16x=45\\x=\frac{45}{16} =2\frac{13}{16}

d)\frac{2}{5} = \frac{3x}{55}\\3x*5=55*2\\\\x=\frac{55*2}{5*3} \\\\\x=\frac{22}{3} =7\frac{1}{3}

4,7(20 оценок)
Открыть все ответы
Ответ:
sveronika00
sveronika00
07.07.2020
В конце у каждого мальчика было по 8 яблок.Третий дал двум другим столько яблок , сколько у них было 8/2=4яблока каждому, а у третьего было до того , как он раздал 8+(4+4)=16 яблок.Второй раздал двум другим столько, сколько у них было ,т.е. третьему 16/2=8 яблок , а первому 4/2=2 яблока.Тогда у второго было до того , как он раздал 4+(8+2)=14 яблок.Первый раздал двум другим столько, сколько у них было, второму 14/2=7 яблок , третьему 8/2=4 яблока.Тогда у первого было 2+(7+4)=13 яблок.ответ: у первого было 13 яблок , у второго 7 яблок , у третьего 4 яблока.
4,6(46 оценок)
Ответ:
serjo1216
serjo1216
07.07.2020
30дм=300см                                                                                                             300:3=100(см) - фигура изображена в масштабе 1:100                                               7·100=700см=70дм - длина 2 стороны                                                                     Р=(а+b)·2=(70+30)·2=200дм                                                                                       S=a·b=70·30=2100(дм²)                                                                                             300:50=6(см) - длина 1 стороны в масштабе 1:50                                                       700:50=14(см) - длина 2 стороны в масштабе 1:50
4,4(70 оценок)
Это интересно:
Новые ответы от MOGZ: Математика
logo
Вход Регистрация
Что ты хочешь узнать?
Спроси Mozg
Открыть лучший ответ