М
Молодежь
К
Компьютеры-и-электроника
Д
Дом-и-сад
С
Стиль-и-уход-за-собой
П
Праздники-и-традиции
Т
Транспорт
П
Путешествия
С
Семейная-жизнь
Ф
Философия-и-религия
Б
Без категории
М
Мир-работы
Х
Хобби-и-рукоделие
И
Искусство-и-развлечения
В
Взаимоотношения
З
Здоровье
К
Кулинария-и-гостеприимство
Ф
Финансы-и-бизнес
П
Питомцы-и-животные
О
Образование
О
Образование-и-коммуникации

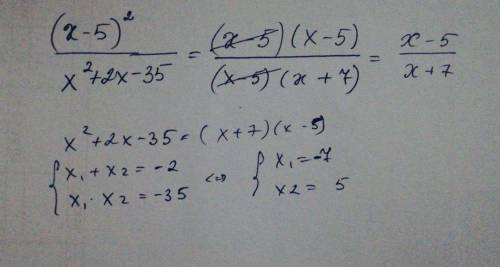
Сократи дробь числитель (x−5)^2 знаменатель x^2+2x−35 .

👇
Ответ:
anchousuchixa
anchousuchixa
20.06.2021

Пошаговое объяснение:


Сократи дробь числитель (x−5)^2 знаменатель x^2+2x−35 .
4,6(94 оценок)
Открыть все ответы
Ответ:
Крекир
Крекир
20.06.2021

Вариант решения (без особых заморочек).

Если 1кг представить, как 8/8, тогда от 1кг останется 3/8 после передачи 5/8 миндаля для изготовления пахлавы (8/8 - 5/8 = 3/8)

Если 1кг представить, как 8/8, тогда от 1кг останется 5/8 после передачи 3/8

миндаля для изготовления торта (8/8 - 3/8 = 5/8)

Всего было 2кг миндаля.

В целом израсходовали 8/8 миндаля (5/8 + 3/8 = 8/8), следовательно для изготовления пахлавы и торта было израсходован 1кг миндаля. Остался 1кг миндаля.

Если представить оставшийся 1кг миндаля, как 5/5, тогда после передачи 3/5 миндаля на стол останется 2/5 миндаля.

1кг = 1000гр., 1/5 от 1000гр составит 200гр.

Осталось 2/5 от 5/5 миндаля.

2 х 200 = 400гр.

ответ. осталось 400гр. миндаля

4,7(98 оценок)
Ответ:
dencommission
dencommission
20.06.2021

Пошаговое объяснение:

24:4=6 фломастеров в каждой коробке

1)Найдем число коробок ,чтоб количество фломастеров  в них было больше 30

6*6= 36 фломастеров , значит в 6 коробках количество фломастеров будет больше 30.

Запишем условие :

В 4-х одинаковых коробках 24 фломастера , сколько фломастеров будет в 6 таких коробках?

2) Найдем число коробок , чтоб число фломастеров было меньше 30.

2*6= 12 фломастеров , значит в двух коробках фломастеров меньше 30.

Запишем условие :

В 4-х одинаковых коробках 24 фломастера, сколько фломастеров в двух таких коробках?

4,7(75 оценок)
Это интересно:
Новые ответы от MOGZ: Математика
logo
Вход Регистрация
Что ты хочешь узнать?
Спроси Mozg
Открыть лучший ответ