М
Молодежь
К
Компьютеры-и-электроника
Д
Дом-и-сад
С
Стиль-и-уход-за-собой
П
Праздники-и-традиции
Т
Транспорт
П
Путешествия
С
Семейная-жизнь
Ф
Философия-и-религия
Б
Без категории
М
Мир-работы
Х
Хобби-и-рукоделие
И
Искусство-и-развлечения
В
Взаимоотношения
З
Здоровье
К
Кулинария-и-гостеприимство
Ф
Финансы-и-бизнес
П
Питомцы-и-животные
О
Образование
О
Образование-и-коммуникации
aiau2004
aiau2004
01.06.2020 21:53 •  Математика

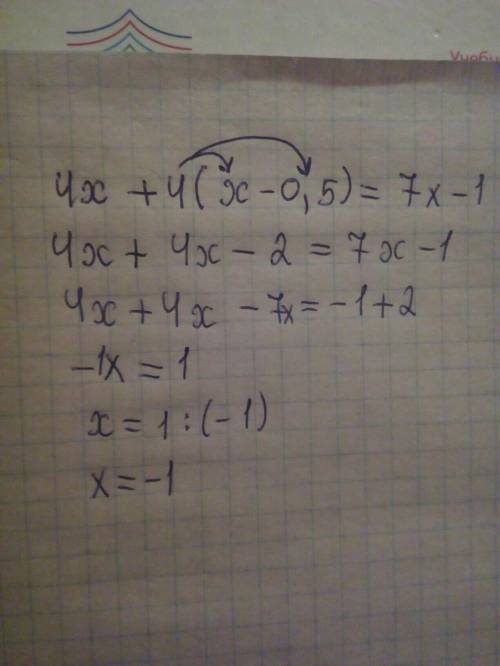
4x+4(x-0,5)=7x-1 решите , можно даже без объяснений

👇
Ответ:
elya144
elya144
01.06.2020
4x во второй степени+2+4x-2=7x-1=7x-4x=4-1

Пошаговое объяснение:

3=3

x=0

4,5(27 оценок)
Ответ:
Саидос
Саидос
01.06.2020
ответ во вложении

удачи))))))))
4x+4(x-0,5)=7x-1 решите , можно даже без объяснений
4,6(34 оценок)
Открыть все ответы
Ответ:
lancerevol12p0cjct
lancerevol12p0cjct
01.06.2020

Пошаговое объяснение:

Площадь клумбы состоит из 2 площадей кругов и площади- квадрата.

Дано:

Sкл.=1210 м²

π≈3

Решение

Формула нахождения площади круга

Sкр=πr²

Формула нахождения площади квадрата

Sкв.=d², где d сторона квадрата и диаметр окружности.

d=2r

2Sкв.=4r²

Sклумбы=2πr²+4r²

r²(2π+4)=Sкл.

r²=Sкл/(2π+4)

r²=1210/(2*3+4)=1210/(6+4)=1210/10=121

r=√121=11 cm

d=2r=11*2=22cm сторона квадрата

Длина забора=2С, где С длина Окружности

Формула нахождения длины окружности.

С=2πr=d*π

С=22*3=66

2C=66*2=132 cm длина декоративного забора

ответ: длина декоративного забора равна 132см; радиус полукругов равно 11см; сторона квадрата равная 22см

4,7(15 оценок)
Ответ:
snikola97
snikola97
01.06.2020

Главная проблема использования одноключевых (симметричных) криптосистем заключается в распределении ключей. Для того, чтобы был возможен обмен информацией между двумя сторонами, ключ должен быть сгенерирован одной из них, а затем в конфиденциальном порядке передан другой. Особую остроту данная проблема приобрела в наши дни, когда криптография стала общедоступной, вследствие чего количество пользователей больших криптосистем может исчисляться сотнями и тысячами.

Начало асимметричным шифрам было положено в работе «Новые направления в современной криптографии» Уитфилда Диффи и Мартина Хеллмана, опубликованной в 1976 году. Находясь под влиянием работы Ральфа Меркле (Ralph Merkle) о рас открытого ключа, они предложили метод получения секретных ключей для симметричного шифрования, используя открытый канал. В 2002 году Хеллман предложил называть данный алгоритм «Диффи - Хеллмана - Меркле», признавая вклад Меркле в изобретение криптографии с открытым ключом.

Хотя работа Диффи-Хеллмана создала большой теоретический задел для открытой криптографии, первой реальной криптосистемой с открытым ключом считают алгоритм RSA (названный по имени авторов - Рон Ривест (Ronald Linn Rivest), Ади Шамир (Adi Shamir) и Леонард Адлеман (Leonard Adleman) из Массачусетского Технологического Института (MIT)).

Справедливости ради следует отметить, что в декабре 1997 года была обнародована информация, согласно которой британский математик Клиффорд Кокс (Clifford Cocks), работавший в центре правительственной связи (GCHQ) Великобритании, описал систему, аналогичную RSA, в 1973 году, а несколькими месяцами позже в 1974 году Малькольм Вильямсон изобрел математический алгоритм, аналогичный алгоритму Диффи – Хеллмана - Меркле.

Суть шифрования с открытым ключом заключается в том, что для шифрования данных используется один ключ, а для расшифрования другой (поэтому такие системы часто называют асимметричными).

Основная предпосылка, которая привела к появлению шифрования с открытым ключом, заключалось в том, что отправитель сообщения (тот, кто зашифровывает сообщение), не обязательно должен быть его расшифровывать. Т.е. даже имея исходное сообщение, ключ, с которого оно шифровалось, и зная алгоритм шифрования, он не может расшифровать закрытое сообщение без знания ключа расшифрования.

Первый ключ, которым шифруется исходное сообщение, называется открытым и может быть опубликован для использования всеми пользователями системы. Расшифрование с этого ключа невозможно. Второй ключ, с которого дешифруется сообщение, называется секретным (закрытым) и должен быть известен только законному получателю закрытого сообщения.

Алгоритмы шифрования с открытым ключом используют так называемые необратимые или односторонние функции. Эти функции обладают следующим свойством: при заданном значении аргумента х относительно вычислить значение функции (x), однако, если известно значение функции y = f(x), то нет пути для вычисления значения аргумента x. Например, функция SIN. Зная x, легко найти значение SIN(x) (например, x = , тогда SIN() = 0). Однако, если SIN(x) = 0, однозначно определить х нельзя, т.к. в этом случае х может быть любым числом, определяемым по формуле i * , где i – целое число.

Однако не всякая необратимая функция годится для использования в реальных криптосистемах. В их числе и функция SIN. Следует также отметить, что в самом определении необратимости функции присутствует неопределенность. Под необратимостью понимается не теоретическая необратимость, а практическая невозможность вычислить обратное значение, используя современные вычислительные средства за обозримый интервал времени.

Пошаговое объяснение:

4,4(66 оценок)
Это интересно:
Новые ответы от MOGZ: Математика
logo
Вход Регистрация
Что ты хочешь узнать?
Спроси Mozg
Открыть лучший ответ