М
Молодежь
К
Компьютеры-и-электроника
Д
Дом-и-сад
С
Стиль-и-уход-за-собой
П
Праздники-и-традиции
Т
Транспорт
П
Путешествия
С
Семейная-жизнь
Ф
Философия-и-религия
Б
Без категории
М
Мир-работы
Х
Хобби-и-рукоделие
И
Искусство-и-развлечения
В
Взаимоотношения
З
Здоровье
К
Кулинария-и-гостеприимство
Ф
Финансы-и-бизнес
П
Питомцы-и-животные
О
Образование
О
Образование-и-коммуникации
Chuiruss
Chuiruss
15.10.2022 19:11 •  Математика

Дискретная случайная величина х может принимать только два значения: х1 и х2, причем х1

👇
Ответ:
chechia
chechia
15.10.2022

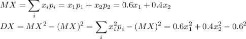
Вероятность р₂ значения x₂ равна 1 - p₁ = 1 - 0.6 = 0.4

Поскольку случайная величина X - дискретная, то

\displaystyle MX=\sum_ix_ip_i=x_1p_1+x_2p_2=0.6x_1+0.4x_2\\ \\ DX=MX^2-(MX)^2=\sum_ix_i^2p_i-(MX)^2=0.6x_1^2+0.4x_2^2-0.6^2

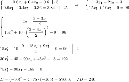
Составим систему уравнений и решим ее

\displaystyle \left \{ {{0.6x_1+0.4x_2=0.6~~|\cdot 5} \atop {0.6x_1^2+0.4x_2^2-0.36=3.84~~~|\cdot 25}} \right.~~~\Rightarrow~~~\left \{ {{3x_1+2x_2=3} \atop {15x_1^2+10x_2^2-9=96}} \right.\\ \\ \\ \left \{ {{x_2=\dfrac{3-3x_1}{2}} \atop {15x_1^2+10\cdot \left(\dfrac{3-3x_1}{2}\right)^2-9=96}} \right.\\ \\ \\ 15x_1^2+10\cdot \dfrac{9-18x_1+9x_1^2}{4}-9=96~~~\bigg|\cdot 2\\ \\ 30x_1^2+45-90x_1+45x_1^2-18=192\\ \\ 75x_1^2-90x_1-165=0\\ \\ D=(-90)^2-4\cdot 75\cdot (-165)=57600;~~~\sqrt{D}=240

x_1=\dfrac{90+240}{2\cdot75}=2.2;~~~~~~~ x_2=\dfrac{3-3\cdot 2.2}{2}=-1.8

Эти значения не удовлетворяют условию

x_1=\dfrac{90-240}{2\cdot75}=-1;~~~~~~~ x_2=\dfrac{3-3\cdot(-1)}{2}=3

Закон распределения:

Xi      -1       3

Pi     0.6    0.4

4,7(59 оценок)
Открыть все ответы
Ответ:

А)

1кг=1000гр.

500г составляют  500\1000=1\2 часть от 1кг.

260г составляют 260\1000=13\50 часть от 1кг.

30г составляют 30\1000=3\100 часть от 1кг.

25г составляют 25\1000=1\40 часть от 1кг.

300г составляют 300\1000=3\10 часть от 1кг.

Б)

1ч=60мин

30мин  составляют  30\60=1\2 часть от 1ч.

15мин составляют  15\60=1\4 часть от 1ч.

10мин составляют 10\60=1\6 часть от 1ч.

6мин составляют 6\60=1\6 от 1ч.

В)

1сутки = 24ч.

1ч составляют 1\24 части от суток.

2ч составляют 2\24=1\12 части от суток.

5ч составляют 2\24 части от суток.

4,4(38 оценок)
Ответ:
123456789er
123456789er
15.10.2022

А)

1кг=1000гр.

500г составляют  500\1000=1\2 часть от 1кг.

260г составляют 260\1000=13\50 часть от 1кг.

30г составляют 30\1000=3\100 часть от 1кг.

25г составляют 25\1000=1\40 часть от 1кг.

300г составляют 300\1000=3\10 часть от 1кг.

Б)

1ч=60мин

30мин  составляют  30\60=1\2 часть от 1ч.

15мин составляют  15\60=1\4 часть от 1ч.

10мин составляют 10\60=1\6 часть от 1ч.

6мин составляют 6\60=1\6 от 1ч.

В)

1сутки = 24ч.

1ч составляют 1\24 части от суток.

2ч составляют 2\24=1\12 части от суток.

5ч составляют 2\24 части от суток.

4,7(9 оценок)
Это интересно:
Новые ответы от MOGZ: Математика
logo
Вход Регистрация
Что ты хочешь узнать?
Спроси Mozg
Открыть лучший ответ