М
Молодежь
К
Компьютеры-и-электроника
Д
Дом-и-сад
С
Стиль-и-уход-за-собой
П
Праздники-и-традиции
Т
Транспорт
П
Путешествия
С
Семейная-жизнь
Ф
Философия-и-религия
Б
Без категории
М
Мир-работы
Х
Хобби-и-рукоделие
И
Искусство-и-развлечения
В
Взаимоотношения
З
Здоровье
К
Кулинария-и-гостеприимство
Ф
Финансы-и-бизнес
П
Питомцы-и-животные
О
Образование
О
Образование-и-коммуникации

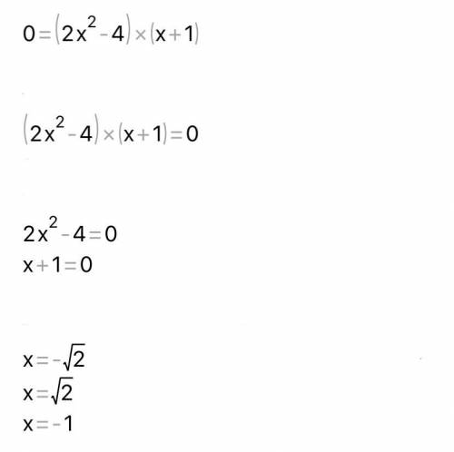
Три поросёнка решили построить кирпичный дом.В течение двух лет каждый из них покупал ежемесячно по 50 кирпичей в магазине стройматериалов.В итоге за всё было уплачено 10800 медяков.На оптовой базе 10 кирпичей продаются за 15 медяков.Произведи несложные расчёты и выясни,сколько денег смогли бы сэкономить поросята,если бы купили все кирпичи на оптовой базе ОТВЕТ В ФОТКЕ УМОЛЯЮ

👇
Ответ:
Наталинас
Наталинас
02.06.2020

1570

Объяснение:

4,7(88 оценок)
Ответ:
Вот держи, я тома всё расписала
Три поросёнка решили построить кирпичный дом.В течение двух лет каждый из них покупал ежемесячно по
4,6(50 оценок)
Открыть все ответы
Ответ:
Radmir5689
Radmir5689
02.06.2020

Векторов всего восемь, и они отличаются во всем, поэтому смыслы жизни у обладателей каждого вектора свои, типичные, обусловленные желаниями врожденного вектора.

Поэтому миллионы людей не задаются вопросами о смысле жизни, ибо для них ответ очевиден. Для зрительников это любовь. «Ну как можно жить без любви? - удивятся они. – Лишь любовь ответить на вопрос «зачем живёт человек?», и только влюбленный имеет право называться человеком!»

Для людей с анальным вектором это семья, дети, дом.«Как можно без семьи? Без семьи нет счастья и смысла в человеческой жизни!» - недоумевают они. Есть и такие, для которых смысл жизни в карьере, богатстве – это люди с кожным вектором. И еще есть люди с мышечным вектором, для которых хлеб всему голова. Вырастить хлеб, построить дом, посадить сады – вот зачем живёт человек.

Объяснение:

4,8(34 оценок)
Ответ:
Calleron
Calleron
02.06.2020

Гражданское общество - это сообщество граждан, которые организованы в защиту своих общих интересов вне связке с государством. Это независимые (т.е. не контролируемые государством) средства массовой информации, профсоюзы, организации, и тому подобное.

Государство долгое время являлось основной, доминирующей формой социальной организации.  

Гражданское общество нужно для того, чтобы удовлетворить интересы общества, чтобы противостоять узурпации власти.

Существует мера того, насколько сильным является гражданское общество в конкретной стране. Наличие определенных признаков говорит об этом: верховенство закона во всех сферах жизни общества, наличие разделения властей (законодательная, исполнительная, судебная), наличие взаимной ответственности государства и личности, законность и правопорядок в обществе, политический и идеологический плюрализм, наличие реальных прав и свобод, а также обязанностей.  

Определяющей чертой любого государства является его монополия на (1) насилие и (2) сбор налогов. В России, где нация часто рассматривается как почти эквивалент государства, гражданское общество слабо. Государство считает независимые группы и средства массовой информации конкурирующими центрами власти. Они подлежат множественным ограничениям, обязательной регистрации, и подвергаются тщательному контролю и проникновению со стороны полиции.  

Гражданское общество в активном состоянии – противостояние авторитаризму и поэтому возможно только при демократическом режиме.

Объяснение:

4,8(50 оценок)
Новые ответы от MOGZ: Обществознание
logo
Вход Регистрация
Что ты хочешь узнать?
Спроси Mozg
Открыть лучший ответ