М
Молодежь
К
Компьютеры-и-электроника
Д
Дом-и-сад
С
Стиль-и-уход-за-собой
П
Праздники-и-традиции
Т
Транспорт
П
Путешествия
С
Семейная-жизнь
Ф
Философия-и-религия
Б
Без категории
М
Мир-работы
Х
Хобби-и-рукоделие
И
Искусство-и-развлечения
В
Взаимоотношения
З
Здоровье
К
Кулинария-и-гостеприимство
Ф
Финансы-и-бизнес
П
Питомцы-и-животные
О
Образование
О
Образование-и-коммуникации
CoconutPie
CoconutPie
18.09.2022 12:06 •  Обществознание

Решите уравнение (2x-5)^2-5=(2x-1)(2x+1) решить ​

👇
Ответ:
Zhannochka3110
Zhannochka3110
18.09.2022
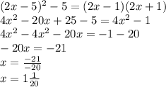
(2x-5)^2-5=(2x-1)(2x+1) \\ 4 {x}^{2} - 20x + 25 - 5 = 4 {x}^{2} - 1 \\ 4 {x}^{2} - 4 {x}^{2} - 20x = - 1 - 20 \\ - 20x = - 21 \\ x = \frac{-21}{-20} \\ x = 1 \frac{1}{20}
4,4(23 оценок)
Ответ:
zimogo121
zimogo121
18.09.2022

Все в фото, удачи в математике, уравнение не сложное, выучи, раскрываем скобки, переносим все в одну часть, сокращаем, дальше слагаемые с переменной оставляем слева, без переменной справа и осталось только найти х


Решите уравнение (2x-5)^2-5=(2x-1)(2x+1) решить ​
4,5(63 оценок)
Открыть все ответы
Ответ:
lybabibrka
lybabibrka
18.09.2022
Инвалидность это состояние человека, при котором имеются препятствия или ограничения в деятельности человека например с физическим, умственным или психическим состоянием а инвалид это человек у которого ограничены возможности из-за его физических, умственных или психических отклонений.
инвалиды устанавливают рекорды в параолимпийских играх, где соревнуются между собой в различных видах спорта т е среди людей с ограниченными возможностями. Если бы я был руководителем, как бы я улучшил жизнь ивалидов? я бы ввел дополнительные льготы работодателям, которые трудоустраивают к себе в штат инвалидов, что бы у людей с ограниченными возможностями была возможность работать.
4,7(47 оценок)
Ответ:
ovrvoin2
ovrvoin2
18.09.2022
Инвалидность это состояние человека, при котором имеются препятствия или ограничения в деятельности человека например с физическим, умственным или психическим состоянием а инвалид это человек у которого ограничены возможности из-за его физических, умственных или психических отклонений.
инвалиды устанавливают рекорды в параолимпийских играх, где соревнуются между собой в различных видах спорта т е среди людей с ограниченными возможностями. Если бы я был руководителем, как бы я улучшил жизнь ивалидов? я бы ввел дополнительные льготы работодателям, которые трудоустраивают к себе в штат инвалидов, что бы у людей с ограниченными возможностями была возможность работать.
4,4(58 оценок)
Новые ответы от MOGZ: Обществознание
logo
Вход Регистрация
Что ты хочешь узнать?
Спроси Mozg
Открыть лучший ответ