М
Молодежь
К
Компьютеры-и-электроника
Д
Дом-и-сад
С
Стиль-и-уход-за-собой
П
Праздники-и-традиции
Т
Транспорт
П
Путешествия
С
Семейная-жизнь
Ф
Философия-и-религия
Б
Без категории
М
Мир-работы
Х
Хобби-и-рукоделие
И
Искусство-и-развлечения
В
Взаимоотношения
З
Здоровье
К
Кулинария-и-гостеприимство
Ф
Финансы-и-бизнес
П
Питомцы-и-животные
О
Образование
О
Образование-и-коммуникации
mlphappyme
mlphappyme
21.07.2021 07:24 •  Русский язык

ответьте с фоткой
(не пишите спам).
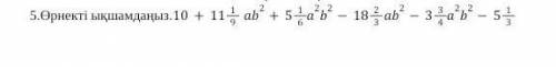
Бжб. Алгебра​


ответьте с фоткой (не пишите спам). Бжб. Алгебра​

👇
Ответ:

ықшамдау деген осы ма?


ответьте с фоткой (не пишите спам). Бжб. Алгебра​
4,4(68 оценок)
Открыть все ответы
Ответ:
Alinakis180902
Alinakis180902
21.07.2021
√1 1) Не работающий, а сломанный телефон. 2) Посуда не убрана в шкаф. 3) Не накормленная вовремя собака. 4) Неоконченная повесть √2 1) Всю досаду, накопленную во время скучной езды, путешественник вымещает на смотрителе. 2) В чём художественный смысл картинок на стенах «смиренной, но опрятной обители», изображающих историю о блудном сыне? 3) С детских лет отзывается в наших сердцах благородный голос Лермонтова, пробуждающий отвагу, утверждающий чувства долга и чести. 4) Д. С. Мережковский сравнивал стихи Лермонтова с «заученными с детства молитвами» √3
4,5(63 оценок)
Ответ:
MaksymU
MaksymU
21.07.2021
С ушедшИм поездом, развесИвший фотографии□ 2) о накалившЕйся обстановке, поспорИвший с приятелем 

□ 3) о пролившЕмся молоке, выгорЕвший участок 

□ 4) с праздником, выкатИвшийся клубок 

А 2 ОТВЕТ 4: КЛЕЯЩИЙ, РАССЕЯННЫЙ
А 3 ОТВЕТ 3 УПРАВЛЯЕМЫЙ, ЗАВЕРШЕНА
А 4 ОТВЕТ 2 ПЕЧЕНЫЕ ОВОЩИ, ОХВАЧЕНЫ РАДОСТЬЮ
А 5 ОТВЕТ 4 НЕОКОНЧЕННАЯ ПОВЕСТЬ
А 6 ОТВЕТ 1: Всю досаду, накопленную во время скучной езды, путешественник вымещает на смотрителе. 

В 1 СКАЗУЕМОЕ ВЫРАЖЕНО КРАТКИМ СТРАДАТ. ПРИЧ. 
В 2 ВЫМЕРШЕМУ СОВ ВИД 
В 3 ПОЙМАННУЮ, ОГОРОЖЕННЫЙ 
В 4 ВЫЛОВЛЕННЫЙ ИНДОНЕЗИЙСКИМИ РЫБАКАМИ 
4,4(11 оценок)
Это интересно:
Новые ответы от MOGZ: Русский язык
logo
Вход Регистрация
Что ты хочешь узнать?
Спроси Mozg
Открыть лучший ответ