М
Молодежь
К
Компьютеры-и-электроника
Д
Дом-и-сад
С
Стиль-и-уход-за-собой
П
Праздники-и-традиции
Т
Транспорт
П
Путешествия
С
Семейная-жизнь
Ф
Философия-и-религия
Б
Без категории
М
Мир-работы
Х
Хобби-и-рукоделие
И
Искусство-и-развлечения
В
Взаимоотношения
З
Здоровье
К
Кулинария-и-гостеприимство
Ф
Финансы-и-бизнес
П
Питомцы-и-животные
О
Образование
О
Образование-и-коммуникации
DALERALIMOV02
DALERALIMOV02
22.12.2021 05:25 •  Русский язык

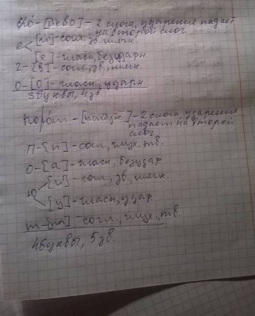
Выполни фонетический разбор слова всюду и звукобуквенный разбор слов его,поют.

👇
Ответ:
Надеюсь,поймёшь......
Выполни фонетический разбор слова всюду и звукобуквенный разбор слов его,поют.
Выполни фонетический разбор слова всюду и звукобуквенный разбор слов его,поют.
4,7(16 оценок)
Открыть все ответы
Ответ:
рустамммм
рустамммм
22.12.2021
Вдруг пронеслись издали какие то странные мерные звуки. То был нечеловеческий голос, не рожок, не гусли,а что то похожее на шум ветра в 
тростнике, если бы тростник мог звенеть как стекло или струны. Звуки лились мерно и заунывно, то звонкими серебряными струями, то подобные шуму колеблемого леса вдруг замолкли, как будто в порыве степного ветра. 
Вдали начался как будто новый порыв вихря, обратился в длинные грустно приятные переливы и через несколько времени кончился,отрывисто, 
подобно конскому фырканью. Но тут раздались новые звуки, гораздо звончее. Казалось множество колокольцев звенели безостановочно. Грустные заунывные звуки сменялись веселыми, но то была не русская грусть, и не русская удаль. Тут отражалось дикое величие кочующего племени,и богатырские набеги, и переходы народов из края в край,и тоска по неизвестной первобытной родине.
5) тросТник (корень- трост)- трость, тростинка
   грусТные (корень- груст)- грусть, грустить
   неизвесТной (корень- вест), известие, весть
   лесТный (корень- лест) лесть
6) грустно, грустные, грусть
Хватит?)))
4,4(81 оценок)
Ответ:
polinaguskova
polinaguskova
22.12.2021
Вдруг пронеслись издали какие-то странные мерные звуки. То был не человеческий голос, не рожок, не гусли, а что-то похожее на шум ветра в тростнике, если бы тростник мог звенеть как стекло или струны.
Звуки лились мерно и заунывно, то звонкими серебряными струями, то подобные шуму колеблемого леса вдруг замолкли, как будто в порыве степного ветра.
Вдали начался как будто новый порыв вихря, обратился в длинные, грустно-приятные переливы и через несколько времени кончился отрывисто, подобно конскому фырканью.
Но тут раздались новые звуки, гораздо звонче. Казалось, множество Колокольцев звенели безостановочно. Грустные заунывные звуки сменялись веселыми, но то была не русская грусть и не русская удаль. Тут отражалось дикое величие кочующего племени, и богатырские набеги, и переходы народов из края в край, и тоска по неизвестной первобытной родине.
4,5(96 оценок)
Это интересно:
Новые ответы от MOGZ: Русский язык
logo
Вход Регистрация
Что ты хочешь узнать?
Спроси Mozg
Открыть лучший ответ