М
Молодежь
К
Компьютеры-и-электроника
Д
Дом-и-сад
С
Стиль-и-уход-за-собой
П
Праздники-и-традиции
Т
Транспорт
П
Путешествия
С
Семейная-жизнь
Ф
Философия-и-религия
Б
Без категории
М
Мир-работы
Х
Хобби-и-рукоделие
И
Искусство-и-развлечения
В
Взаимоотношения
З
Здоровье
К
Кулинария-и-гостеприимство
Ф
Финансы-и-бизнес
П
Питомцы-и-животные
О
Образование
О
Образование-и-коммуникации
schoolboy371
schoolboy371
13.01.2022 19:42 •  Алгебра

Разность двух чисел равна 6 , а сумма чисел, обратных данным, равна 720 . найдите эти числа.

👇
Ответ:
BlackJuice
BlackJuice
13.01.2022

Обозначим искомые числа через x и y , тогда обратные им числа будут 1/x и 1/y . Составим систему по условию задачи .

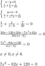
\left \{ {{x-y=6} \atop {\frac{1}{x}+\frac{1}{y}=\frac{7}{20}}} \right.\\\\\left \{ {{y=x-6} \atop {\frac{1}{x}+\frac{1}{x-6}=\frac{7}{20}}} \right.\\\\\frac{1}{x}+\frac{1}{x-6}-\frac{7}{20}=0\\\\\frac{20x-120+20x-7x^{2}+42x }{20x(x-6)}=0\\\\\frac{7x^{2}-82x+120 }{x(x-6)}=0\\\\x\neq0;x\neq6\\\\7x^{2}-82x+120=0

D=(-82)^{2}-4*7*120=6724-3360=3364=58^{2}\\\\x_{1}=\frac{82+58}{14}=\frac{140}{14}=10\\\\x_{2}=\frac{82-58}{14}=\frac{24}{14}=\frac{12}{7}=1\frac{5}{7}\\\\y_{1}=10-6=4\\\\y_{2}=1\frac{5}{7}-6=-4\frac{2}{7}\\\\Otvet:\boxed{(10;4),(1\frac{5}{7};-4\frac{2}{7})}

4,4(71 оценок)
Ответ:
umma95
umma95
13.01.2022

ответ: во вложении Объяснение:


Разность двух чисел равна 6 , а сумма чисел, обратных данным, равна 720 . найдите эти числа.
4,4(22 оценок)
Открыть все ответы
Ответ:
zhuravskaya1991
zhuravskaya1991
13.01.2022

Привет, мои замечательные!

Сегодня таки выбрались к Вовиной маме где есть нормальный интернет и могу написать тот огромный пост о котором говорила ранее, но начнем по-порядку.

Вернулись в Минск в понедельник рано утром. Встретил Минск нас ледяным ветром, снегом иотсутствием жилья, но несмотря на все это, мы в буквальном смысле слова готовы были целовать землю минскую, потому-что за всю эту поездку мы поняли совершенно точно и определенно — лучше Беларуси может быть только Беларусь и это я говорю, как человек, который пожить успел в Европе, причем не на правах эмигранта, и по России покататься и по миру в целом...

Итак,понедельник. Минск. Утро. Вещи оставили в камере хранения и побрели в ближайшее кафе с услугой wi-fi дабы начать поиски жилья. Да-да, за 1,5 месяца странствий нашу квартиру решили больше не сдавать, но нас предупредить как-то забылину ладно, это уже в День сумасшедших поисков дал результат и к вечеру мы нашли чудесную квартиру, предварительно охерев от того, как вырос ценних на жилье. На следующий день собрали все вещи в старой квартире и переехали за 5 часов...я все еще как в тумане и ума не приложу, КАК мы смогли все собрать и за такой короткий срок перевести, но мы это сделали. ... а сейчас постараюсь собрать все свои мысли и с чувством, с толком, с расстановкой рассказать о наших скитаниях, путешествиях и впечатлениях за этот месяц...

Объяснение:

4,7(8 оценок)
Ответ:
radkov02p08713
radkov02p08713
13.01.2022

История создания – Стихотворение написано весной 1915 года, во время отдыха в родовом имении.

Тема стихотворения – Пробуждение природы и души человека с приходом весны.

.

Композиция – Композиция стихотворения включает в себя две условные части: в первой автор описывает весеннее обновление природы, во второй – раскрывает внутренние ощущения лирической героини.

.

Жанр – Пейзажная лирика.

Стихотворный размер – Ямб с использованием парной рифмы.

.

Метафоры – «деревья весело-сухие», «ветер нежен и упруг».

.

Эпитеты – «плотный», «теплый», «новая».

.

Анафора – 4 строчки берут начало с «и».

.

Олицетворения – «отдыхает луг», «шумят деревья».

.

ТЕМА: Темапроизведения – приход весны и связанные с ним перемены. Однако сама природа не представляет для поэтессы особого интереса: куда больше ее волнуют те чувства и эмоции, которые появляются при взгляде на обновление природы.

.

.

.

ЖАНР:Произведение написано в жанре пейзажной лирики. Размер стихотворения – ямб, рифма – парная.

Объяснение:

это?

4,4(26 оценок)
Это интересно:
Новые ответы от MOGZ: Алгебра
logo
Вход Регистрация
Что ты хочешь узнать?
Спроси Mozg
Открыть лучший ответ