М
Молодежь
К
Компьютеры-и-электроника
Д
Дом-и-сад
С
Стиль-и-уход-за-собой
П
Праздники-и-традиции
Т
Транспорт
П
Путешествия
С
Семейная-жизнь
Ф
Философия-и-религия
Б
Без категории
М
Мир-работы
Х
Хобби-и-рукоделие
И
Искусство-и-развлечения
В
Взаимоотношения
З
Здоровье
К
Кулинария-и-гостеприимство
Ф
Финансы-и-бизнес
П
Питомцы-и-животные
О
Образование
О
Образование-и-коммуникации
Eka228
Eka228
17.05.2023 02:57 •  Алгебра

tg(\pi \div 4 - x \div 2) = - 1

👇
Ответ:
Jakclin
Jakclin
17.05.2023

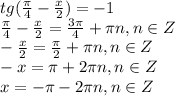
tg(\frac{\pi}{4}-\frac{x}{2})=-1\\\\\frac{\pi}{4}-\frac{x}{2}=-\frac{\pi}{4}+\pi n\; ,\; n\in Z\\\\\frac{x}{2}=\frac{\pi}{4}+\frac{\pi}{4}-\pi n\; ,\; n\in Z\\\\\frac{x}{2}=\frac{\pi}{2}-\pi n,\; n\in Z\\\\x=\pi -2\pi n\; ,\; n\in Z

4,5(49 оценок)
Ответ:
1234555676
1234555676
17.05.2023

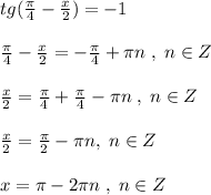
tg (\frac{\pi}{4}- \frac{x}{2} )=-1\\\frac{\pi}{4}- \frac{x}{2}=\frac{3\pi}{4}+\pi n, n\in Z\\- \frac{x}{2}=\frac{\pi}{2}+\pi n, n\in Z\\- x=\pi+2\pi n, n\in Z\\ x=-\pi-2\pi n, n\in Z\\

4,4(46 оценок)
Открыть все ответы
Ответ:
Tsaryova21
Tsaryova21
17.05.2023
План действий такой: 1)  ищем производную 2) приравниваем её к нулю и решаем уравнение 3) полученные корни ставим на числовой прямой и определяем знак производной на каждом участке 4) делаем выводы: а) где плюс, там возрастание, где минус - убывание, точка, при переходе через которую производная меняет знак с + на -, это точка максимума, наоборот - точка минимума. начали? 1) производная равна(-2х(х +2) - ( 3 - х²)·1)/(х + 2)² 2) ( -2х² - 4х - 3 + х² )/(х + 2)² = 0 |  ·(х + 2 )  ≈ 0       -2х² - 4х -3 +х² = 0       -х² -4х -3 = 0       х² + 4х + 3 = 0 х1 = -1;   х2 = -3 3)  -∞     +     -3       -    -1     +     +∞   4) функция возрастает при х∈( -∞; -3)∨(-1; +∞)       функция убывает при х  ∈(-3; -1)       х = -3 точка мак4симума         х = -1 точка минимума.
4,6(28 оценок)
Ответ:
LadySmail
LadySmail
17.05.2023
Пусть катеты a и bа/b=3/4a=3b/4пусть меньший отрезок, на которые делит высота гипотенузу равен x тогда второая x+14по теореме высота h^2=x(x+14)по теореме пифагора a^2=x^2+h^2=x^2+x(x+14)=2x^2+14xснова по теореме пифагора: b^2=h^2+(x+14)^2=x(x+14)+(x+14)^2=x^2+14x+x^2+28x+196=2x^2+42x+196но так как мы сказали что a=3b/4 => a^2=9b^2/16=9(2x^2+42x+196)/169(2x^2+42x+196)/16=2x^2+14x9(2x^2+42x+196)=32x^2+224x18x^2+378x+1764=32x^2+224x-14x^2+154x+1764=014x^2-154x-1764=0x^2-11x-126=0x=18 осталось найти a и b и найти площадь
4,6(41 оценок)
Это интересно:
Новые ответы от MOGZ: Алгебра

MOGZ ответил

Полный доступ к MOGZ
Живи умнее Безлимитный доступ к MOGZ Оформи подписку
logo
Вход Регистрация
Что ты хочешь узнать?
Спроси Mozg
Открыть лучший ответ