М
Молодежь
К
Компьютеры-и-электроника
Д
Дом-и-сад
С
Стиль-и-уход-за-собой
П
Праздники-и-традиции
Т
Транспорт
П
Путешествия
С
Семейная-жизнь
Ф
Философия-и-религия
Б
Без категории
М
Мир-работы
Х
Хобби-и-рукоделие
И
Искусство-и-развлечения
В
Взаимоотношения
З
Здоровье
К
Кулинария-и-гостеприимство
Ф
Финансы-и-бизнес
П
Питомцы-и-животные
О
Образование
О
Образование-и-коммуникации
nik863
nik863
21.03.2023 01:06 •  Алгебра

Найдите неопределённый интеграл.с подробным решением. ответ отмечу лучшим

👇
Ответ:
GiFka34
GiFka34
21.03.2023

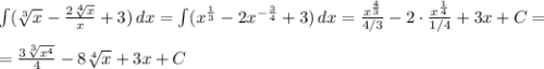
\int (\sqrt[3]{x}-\frac{2\sqrt[4]{x}}{x}+3)\, dx=\int (x^{\frac{1}{3}}-2x^{-\frac{3}{4}}+3)\, dx=\frac{x^{\frac{4}{3}}}{4/3}-2\cdot \frac{x^{\frac{1}{4}}}{1/4}+3x+C=\\\\=\frac{3\sqrt[3]{x^4}}{4}-8\sqrt[4]{x}+3x+C

4,6(79 оценок)
Открыть все ответы
Ответ:
vikaadvova
vikaadvova
21.03.2023
Суть этого метода заключается в попытке доказать, что тезис, обратный данному, не правдив, то есть опровергнуть его. Получая двойное отрицание, мы приходим к выводу, что изначально данное суждение верно. 

В начале мы делаем предположение, которое противоположно тому, что дано теоремой. Затем, путем ранее доказанных теорем или аксиом, мы приходим к выводу, который противоречит либо данной теореме, либо какой-либо из аксиом/теорем, которые нам известны. Из этого делается вывод, что предположение неверно, соответственно, верно обратное.
4,4(82 оценок)
Ответ:
Ksenya0809
Ksenya0809
21.03.2023
Размеры прямоугольника
а - высота b - ширина
размеры треугольника
b - все стороны
L = 2*a+3*b
S = a*b+b^2*корень(3)/4

из первого равенства a=(L-3b)/2
S = a*b+b^2*корень(3)/4= b*(L-3b)/2+b^2*корень(3)/4
S(b) =  b*(L-3b)/2+b^2*корень(3)/4 - функция от переменной b
найдем производную по b и приравняем нулю - найдем экстремум
S`(b) =  (L-3b)/2-3*b/2+2*b*корень(3)/4=0
S`(b) =  (L-6*b+b*корень(3))/2=0
b=L/(6-корень(3)) =L*(6+корень(3))/33
a=(L-3b)/2=(L-3*L*(6+корень(3))/33)/2=L*(5-корень(3))/22

ответ
а= L*(5-корень(3))/22 - высота прямоугольника
b=L*(6+корень(3))/33 - ширина окна
4,6(21 оценок)
Это интересно:
logo
Вход Регистрация
Что ты хочешь узнать?
Спроси Mozg
Открыть лучший ответ