М
Молодежь
К
Компьютеры-и-электроника
Д
Дом-и-сад
С
Стиль-и-уход-за-собой
П
Праздники-и-традиции
Т
Транспорт
П
Путешествия
С
Семейная-жизнь
Ф
Философия-и-религия
Б
Без категории
М
Мир-работы
Х
Хобби-и-рукоделие
И
Искусство-и-развлечения
В
Взаимоотношения
З
Здоровье
К
Кулинария-и-гостеприимство
Ф
Финансы-и-бизнес
П
Питомцы-и-животные
О
Образование
О
Образование-и-коммуникации
danikmy12
danikmy12
20.01.2023 00:05 •  Алгебра

Суравнениями, решите только 1 2 3 7 9,13-15 ,19

👇
Ответ:
NikaUayt
NikaUayt
20.01.2023

1.

Объяснение: все решения и ответы на фото


Суравнениями, решите только 1 2 3 7 9,13-15 ,19
Суравнениями, решите только 1 2 3 7 9,13-15 ,19
4,4(9 оценок)
Ответ:
bushina2
bushina2
20.01.2023

1)

( - x - 5)(2x + 4) = 0 \\ - 2 {x}^{2} - 4x - 1x - 20 = 0 \\ - 2 {x}^{2} - 5x - 20 = 0 \\ D = { ( - 5)}^{2} - 4 \times ( - 2) \times ( - 20) = 25 - 160

Дискриминант отрицательный, поэтому нет корней.

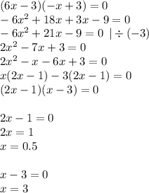
2)

(6x - 3)( - x + 3) = 0 \\ - 6 {x}^{2} + 18x + 3x - 9 = 0 \\ - 6 {x}^{2} + 21x - 9 = 0 \: \: | \div ( - 3) \\ 2 {x}^{2} - 7x + 3 = 0 \\ 2{x}^{2} - x - 6x + 3 = 0 \\ x(2x - 1) - 3(2x - 1) = 0 \\ (2x - 1)(x - 3) = 0 \\ \\ 2x - 1 = 0 \\ 2x = 1 \\ x = 0.5 \\ \\ x - 3 = 0 \\ x = 3

3)

( - x - 4)(3x + 3) = 0 \\ - 3 {x}^{2} - 3x - 12x - 12 = 0 \\ - 3 {x}^{2} - 5x - 12 = 0 \\ D = {( - 5)}^{2} - 4 \times ( - 3) \times ( - 12) = 25 - 144

Дискриминант отрицательный, поэтому нет корней.

7)

{x}^{2} - 36 = 0 \\ {x}^{2} = 36 \\ \\ x = \sqrt{36} \\ x = 6 \\ \\ x = - \sqrt{36} \\ x = - 6

9)

{x}^{2} - 49 =0 \\ {x}^{2} = 49 \\ \\ x = \sqrt{49} \\ x = 7 \\ \\ x = - \sqrt{49} \\ x = - 7

13)

3 {x}^{2} - 9x = 0\\ 3x(x - 3) = 0 \\ \\ 3x = 0 \\ x = 0 \\ \\ x - 3 = 0 \\ x = 3

14)

5 {x}^{2} - 10x = 0 \\ 5x(x - 2) = 0 \\ \\ 5x = 0 \\ x = 0 \\ \\ x - 2 = 0 \\ x = 2

15)

7 {x}^{2} - 7x = 0 \\ 7x(x - 1) = 0 \\ \\ 7x = 0 \\ x = 0 \\ \\ x - 1 = 0 \\ x = 1

19)

9 {x}^{2} = 54x \\ 9 {x}^{2} - 54x = 0 \\ 9x(x - 6) = 0 \\ \\ 9x = 0 \\ x = 0 \\ \\ x - 6 = 0 \\ x = 6

4,4(26 оценок)
Открыть все ответы
Ответ:
juliyakam
juliyakam
20.01.2023
Путь из города в поселок S1=24 км
Путь обратно S2 = 30 км
Скорость на пути из города в поселок V1 (неизвестна, примем за x)
Скорость на обратном пути V2 = V1 + 2 км/ч = x+2
Время на первом пути T1 = S1 / V1 = 24 / x
Время на втором пути T2 = S2 / V2 = 30 / (x+2) = T1 + 0,1 ч. = 24 / x + 0,1
Получили уравнение:
30 / (x+2) = 24 / x + 0,1
Приводим дроби к общему знаменателю:
(30 * x - 24 * (x+2) - 0,1 * x * (x+2)) / (x * (x+2)) = 0
x ≠ 0,  x ≠ -2 (верно, так как x - скорость велосипедиста)
Числитель приравниваем к 0, раскрываем скобки:
30x - 24x - 48 - 0,1 x² - 0,2x = 0
Решаем квадратное уравнение:
x1=48,   x2=10
Скорость из города в посёлок могла быть 48 км/ч или 10 км/ч (в обоих случаях условия задачи выполняются, проверь)
Скорость на обратном пути, V2, будет соответственно 50 км/ч или 12 км/ч.

P.S. По опыту езды на велосипеде могу сказать, то поддерживать скорость 50 км/ч на протяжении 30 км могут только спортсмены при езде по подготовленному треку на хорошем спортивном велосипеде. Так что правильный ответ скорее всего 12 км/ч. Но и 50 км/ч соответствует условию задачи.
4,8(15 оценок)
Ответ:
ffplfref
ffplfref
20.01.2023
Будем решать "в лоб", т.е. читаем условие и записываем выражения.
Пусть х - первоначальная цена акций, t - скидка в долях (в процентах будет t*100%).

1) В понедельник акции подорожали на t*100% и стали стоить (x + tx);
2) Во вторник акции подешевели на t*100% и стали стоить:
(x+tx) - t(x+tx) = x + tx - tx - t²x = x - t²x
3) В результате (во вторник) акции стали стоить на 49% меньше:
\frac{x-(x-t^2x)}{x} = 0.49 \\ \\ \frac{x-(x-t^2x)}{x} = \frac{x-x+t^2x)}{x} = \frac{t^2x}{x} = t^2 = 0.49 \\ \\ t=0.7

Итак, сначала акции подорожали на 70%, а затем упали в цене на эти же 70%, а в итоге после таких операций цена уменьшилась на 49%.
4,7(96 оценок)
Это интересно:
Новые ответы от MOGZ: Алгебра
logo
Вход Регистрация
Что ты хочешь узнать?
Спроси Mozg
Открыть лучший ответ