


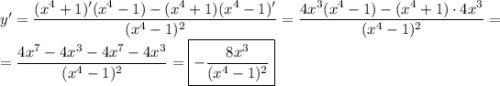
1)
2)
не является четной и нечетной
3)Горизонтальная:
y=0 - горизонтальная асимптота
Наклонная: y=kx+b
Наклонных нет
Вертикальная x = a, где а - точка разрыва
- вертикальные асимптоты
4) 
y' не сущ. при
y' = 0 при х=2; х=4
- - + + -
-----------0-----------------.-----0---------.----------->x
-2sqrt(2) 2 2sqrt(2) 4
x = 2 - точка min y(2) = 1/4 - наименьшее значение
x = 4 - точка max y(4) = 1/8 - наибольшее значение
5)OX: y=0; x = 3 A(3;0)
OY: x=0; y=3/8 B(0;3/8)
ответ:
данные решаются по одному алгоритму.
продемонстрируем на примере первой функции (вторая исследуется аналогично, только функция не определена в точке х=4):
1)
функция не определена в точке x = - 4.
поэтому:
x ∈ (-∞; -4) ∪ (-4; +∞)
2)
находим производную функции:
y'(x) = [(x²+3x)'·(x+4)-(x²+3x)·(x+4)'] / (x+4)²
y'(x) = [(2x+3)·(x+4)-(x²+3x)·1] / (x+4)²
y'(x) = (x²+8x+12) / (x+4)²
3)
приравняем производную к нулю:
x²+8x+12 = 0
x₁ = - 6
x₂ = -2
4)
на интервале x∈(-∞; -6)
y'(x) > 0; функция монотонно возрастает.
на интервале x∈(-6; -4)
y'(x) < 0; функция монотонно убывает.
в точке x = -6 - максимум функции.
y(-6) = - 9
5)
на интервале x∈( -4; -2)
y'(x) < 0; функция монотонно убывает .
на интервале x∈(-2; +∞)
y'(x) > 0; функция монотонно возрастает.
в точке x = - 2 - минимум функции.
y(-2) = -1
6)
для контроля строим график
объяснение: