1) Область определения функции - все действительные числа, так как при а>0 под корнем находится положительное число, следовательно из него можно извлечь квадратный корень. График функции непрерывен на всей области определения. Так как для функции выполняется соотношения f(-x)=f(x), то она является четной функцией. Функция не имеет периода. 2)
Значит, асимптотой является прямая y=x, а также симметричная ей прямая относительно оси ординат y=-x, так как функция четная 3)
При а>0 это уравнение не имеет решений, значит нулей у функции нет. Так как квадратный корень принимает только неотрицательные значения, то функция на всей области определения положительна. 4)
Производная равна нулю только в точке х=0 - это точка минимума, так как производная меняет свой знак с "-" на "+". Следовательно, при х<0, то есть при отрицательной производной, функция убывает, при х>0 - возрастает, так как производная больше нуля. Минимум функции находим как значение самой функции в точке минимума:
5)
Вторая производная при любых а>0 и х положительна, значит функция на всей области определения вогнута и у нее нет точек перегиба.
1)
Функция не является непрерывной, так как она не она не определена при . Так как для функции выполняется соотношения f(-x)=f(x), то она является четной функцией. Функция не имеет периода. 2)
Значит, асимптотой является прямая y=x, а также симметричная ей прямая относительно оси ординат y=-x, так как функция четная 3) Нули функции:
Так как квадратный корень принимает только неотрицательные значения, то функция в остальных точках области определения, то есть при положительна. 4)
Производная равна нулю только в точке х=0, однако эта точка попадает в область определения функции только при а=0. В общем случае, при , то есть при отрицательной производной, функция убывает, при - возрастает, так как производная больше нуля. Точки минимума совпадают с нулями функции и соответственно сами минимумы равны нулю. 5)
Вторая производная при любых а>0 и х отрицательна, значит функция на всей области определения выпукла (в знаменателе стоит выражение, которое в соответствии с областью определения не может быть отрицательным числом), точек перегиба у функции нет.
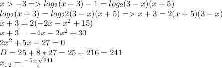
Рассмотрим два случая: x > -3 и x < -3
Сначала первый:
Из условия раскрытия модуля если среди этих чисел есть корень, то это только
, но его нужно проверить по ОДЗ.
Теперь рассмотрим уравнение при x < -3
Учитывая раскрытие модуля, выбираем только один из корней, а именно
Теперь рассмотрим ОДЗ:
Cравним первый корень с 3, а второй с -5
Вроде оба корня подходят.