М
Молодежь
К
Компьютеры-и-электроника
Д
Дом-и-сад
С
Стиль-и-уход-за-собой
П
Праздники-и-традиции
Т
Транспорт
П
Путешествия
С
Семейная-жизнь
Ф
Философия-и-религия
Б
Без категории
М
Мир-работы
Х
Хобби-и-рукоделие
И
Искусство-и-развлечения
В
Взаимоотношения
З
Здоровье
К
Кулинария-и-гостеприимство
Ф
Финансы-и-бизнес
П
Питомцы-и-животные
О
Образование
О
Образование-и-коммуникации
pandaswomenp08cc4
pandaswomenp08cc4
17.03.2020 01:04 •  Алгебра

Найдите область определения выражения с переменной:
√4+3х/2(x+3)x-6(x-2)

👇
Ответ:
borovikovaarina
borovikovaarina
17.03.2020

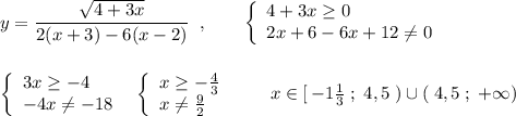
y=\dfrac{\sqrt{4+3x}}{2(x+3)-6(x-2)}\; \; ,\qquad \left\{\begin{array}{l}4+3x\geq 0\\2x+6-6x+12\ne 0\end{array}\right\\\\\\\left\{\begin{array}{lll}3x\geq -4\\-4x\ne -18\end{array}\right\; \; \left\{\begin{array}{lll}x\geq -\frac{4}{3}\\x\ne \frac{9}{2}\end{array}\right\qquad x\in [\, -1\frac{1}{3}\; ;\; 4,5\; )\cup (\; 4,5\; ;\; +\infty )

4,8(27 оценок)
Открыть все ответы
Ответ:
Sasha11111222
Sasha11111222
17.03.2020
1. (5√2 - 1)(√8 + 1) - √18 = (5√2 - 1)(2√2 + 1) - 3√2 =
= 5*2*2 - 2√2 + 5√2 - 1 - 3√2 = 20 - 1 = 19

2.(√(x-4) - a^2 + 9)(x^2 - 3x - 70) = 0
Произведение равно 0, когда любой из множителей равен 0.
Начнем со второй скобки
x^2 - 3x - 70 = 0
D = 9 - 4(-70) = 9 + 280 = 289 = 17^2
x1 = (3 - 17)/2 = (-14)/2 = -7; x2 = (3 + 17)/2 = 20/2 = 10
При любом а в первой скобке будет два корня во второй скобке.
ответ: ни при каком а не будет 1 корня, всегда 2, 3 или 4.

3. Квадратное уравнение имеет более 2 корней, если это тождество.
Это значит, что все три коэффициента: при x^2, при x и число, равны 0.
{ 2a^2 - 3a - 2 = 0
{ a^3 - 4a = 0
{ 3a^2 + a - 14 = 0
Решаем эти уравнения
{ (a - 2)(2a + 1) = 0
{ a(a^2 - 4) = a(a - 2)(a + 2) = 0
{ (a - 2)(3a + 7) = 0
При а = 2 все три коэффициента обращаются в 0. Получается
0x^2 + 0x + 0 = 0
Это тождество верно при любом х.
ответ: а = 2

4. Я не понял задания. В 1 скобке что в знаменателе? y или y-1 ?
Во 2 скобке что в числителе? 2y-7 или 7? И что в знаменателе?
Справа тоже непонятно, что в знаменателе.
Расставь скобки по-нормальному!
4,8(77 оценок)
Ответ:
slava452163525
slava452163525
17.03.2020
1) sin^2 x + sin 2x - 3cos^2 x = 0
sin^2 x + 2sin x*cos x - 3cos^2 x = 0
Делим все на cos^2 x
tg^2 x - 2tg x - 3 = 0
(tg x + 1)(tg x - 3) = 0
tg x = -1; x1 = -pi/4 + pi*k
tg x = 3; x2 = arctg(3) + pi*n

2) 10sin^2 x + 5sin x*cos x + cos^2 x = 3sin^2 x + 3cos^2 x
7sin^2 x + 5sin x*cos x - 2cos^2 x = 0
Делим все на cos^2 x
7tg^2 x + 5tg x - 2 = 0
(tg x + 1)(7tg x - 2) = 0
tg x = -1; x1 = -pi/4 + pi*k
tg x = 2/7; x2 = arctg(2/7) + pi*n

3) 6sin^2(2x) - 4sin(4x) + 4cos^2(2x) = 1
6sin^2(2x) - 4*2sin(2x)*cos(2x) + 4cos^2(2x) = sin^2(2x) + cos^2(2x)
5sin^2(2x) - 8sin(2x)*cos(2x) + 3cos^2(2x) = 0
Делим все на cos^2(2x)
5tg^2(2x) - 8tg(2x) + 3 = 0
(tg(2x) - 1)(5tg(2x) - 3) = 0
tg(2x) = 1; 2x = pi/4 + pi*k; x = pi/8 + pi/2*k
tg(2x) = 3/5; x = 1/2*arctg(3/5) + pi/2*n
4,6(25 оценок)
Это интересно:
logo
Вход Регистрация
Что ты хочешь узнать?
Спроси Mozg
Открыть лучший ответ