М
Молодежь
К
Компьютеры-и-электроника
Д
Дом-и-сад
С
Стиль-и-уход-за-собой
П
Праздники-и-традиции
Т
Транспорт
П
Путешествия
С
Семейная-жизнь
Ф
Философия-и-религия
Б
Без категории
М
Мир-работы
Х
Хобби-и-рукоделие
И
Искусство-и-развлечения
В
Взаимоотношения
З
Здоровье
К
Кулинария-и-гостеприимство
Ф
Финансы-и-бизнес
П
Питомцы-и-животные
О
Образование
О
Образование-и-коммуникации
misscalina1950
misscalina1950
14.02.2023 17:53 •  Алгебра

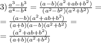
Сократите дробь 1)а^4-b^4/a^2 +b^2 2)x^4-y^4/x^2-y^2 3)a^3-b^3/a^4-b^4 4)a^2+ab+b^2/a^3-b^3 20 полный ответ

👇
Ответ:
14.02.2023

1) \frac{а^4-b^4}{a^2 +b^2 } = \frac{(a^2 +b^2 )(a^2 - b^2) }{a^2 +b^2 } = \\ = a^2 - b^2

2) \frac{x^4-y^4}{x^2-y^2 } = \frac{(x^2-y^2)(x^2 + y^2 )}{x^2-y^2 } = \\ = {x}^{2} + {y}^{2}

3) \frac{a^3-b^3}{a^4-b^4} = \frac{(a - b)( {a}^{2} + ab + {b}^{2} )}{( {a}^{2} - {b}^{2} )({a}^{2} + {b}^{2})} = \\ = \frac{(a - b)( {a}^{2} + ab + {b}^{2} )}{( a + b)(a - b)({a}^{2} + {b}^{2})} = \\ = \frac{( {a}^{2} + ab + {b}^{2} )}{( a + b)({a}^{2} + {b}^{2})}

4) \frac{a^2+ab+b^2}{a^3-b^3} = \frac{a^2+ab+b^2}{(a - b)(a^2+ab+b^2)} = \\ = \frac{1}{a - b}

4,7(3 оценок)
Открыть все ответы
Ответ:
SuperVai
SuperVai
14.02.2023
Любая точка имеет 2 координаты: х и у. Надо просто вместо х и вместо у подставить указанные значения и посмотреть на получившееся равенство.
а) А(3;27)
х = 3, у = 27
у = х³
27 = 3³ ( верно) ⇒ А ∈ графику
б)В(-3; 27)
х = -3, у = 27
у =х² 
27 = (-3)² ( неверно) ⇒ В∉ графику
в) С( -1; 1)
х = -1; у = 1
у = х³
1 = (-1)³ (неверно) ⇒ С∉ графику
г) Д(0;1)
х = 0; у = 1
у = х³
1 = 0³ (неверно)⇒ Д ∉ графику
д) Е(-2; -8)
х = -2; у = -8
у = х³
-8 = (-2)³ (верно) ⇒ Е ∈ графику
е) F(8; 2)
 х = 8; у = 2
у = х³
2 = 8² (неверно) ⇒ F∉ графику
4,7(65 оценок)
Ответ:

Начнем с определения последовательности цветов:

1. Фраза "красная фигура лежит между синей и зеленой" означает, что имеет место быть блок из трех цветов "С-К-З" или "З-К-С".

2. Фраза "справа от желтой фигуры лежит ромб" означает, что желтая фигура не может лежать в крайнем правом положении. Значит, в крайнее правое положение попадает рассмотренный на предыдущем шаге блок, который занимает сразу три крайних праву положение. Единственное оставшееся место для желтой фигуры - крайнее левое положение. Получается два варианта расположения: "Ж-С-К-З" или "Ж-З-К-С".

3. Фраза "синяя и желтая фигуры лежат не рядом" разрешают возникшую неопределенность. Значит, расстановка цветов следующая: "Ж-З-К-С"

Теперь определяем сами фигуры. Составим таблицу (картинка)

1. Фраза "справа от желтой фигуры лежит ромб" однозначно определяет позицию ромба.

2. Фраза "круг лежит правее и треугольника и ромба" означает, что в крайней левой позиции не может быть треугольника.

3. Фраза "треугольник лежит не с краю" означает, что в крайней левой и крайней правой позиции нет треугольника.

4. Таким образом, в крайней левой позиции может находиться только круг.

5. Теперь очевидно, что в крайней правой позиции располагается прямоугольник.

6. Треугольник в оставшейся третьей позиции.

ответ: желтый круг, зеленый ромб, красный треугольник, синий прямоугольник

4,8(88 оценок)
Это интересно:
Новые ответы от MOGZ: Алгебра
logo
Вход Регистрация
Что ты хочешь узнать?
Спроси Mozg
Открыть лучший ответ