М
Молодежь
К
Компьютеры-и-электроника
Д
Дом-и-сад
С
Стиль-и-уход-за-собой
П
Праздники-и-традиции
Т
Транспорт
П
Путешествия
С
Семейная-жизнь
Ф
Философия-и-религия
Б
Без категории
М
Мир-работы
Х
Хобби-и-рукоделие
И
Искусство-и-развлечения
В
Взаимоотношения
З
Здоровье
К
Кулинария-и-гостеприимство
Ф
Финансы-и-бизнес
П
Питомцы-и-животные
О
Образование
О
Образование-и-коммуникации
AlexandraB11092003
AlexandraB11092003
11.02.2020 04:11 •  Алгебра

Розв'язати систему рівнянь
{2x+y=-4
4x-3y=2
до ть

👇
Ответ:
арсен2000
арсен2000
11.02.2020

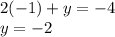
2x+y=-4

4x-3y=2

Домножим первое уравнение на 2

Получим

4x+2y=-8

4x-3y=2

Решим систему методом вычитания

4x+2y-4x+3y=-8-2

5y=-10

y=(-10):5

y=-2

Далее подставим Y, например, в первое выражение

2x+(-2)=-4

2x=-4+2

2x=-2

x=-1

x=-1

y=-2

4,7(88 оценок)
Ответ:
teodor16090
teodor16090
11.02.2020

x=-1; y=-2

Объяснение:

\left \{ {{2x+y=-4} \atop {4x-3y=2}} \right.

+\left \{ {{2x+y=-4|*3} \atop {4x-3y=2}} \right.\\---------------\\3(2x+y)+(4x-3y)=3*(-4)+2

10x=-10|:10\\x=-1

2(-1)+y=-4\\y=-2

x=-1; y=-2

4,7(4 оценок)
Открыть все ответы
Ответ:
jkh40949
jkh40949
11.02.2020
9 7/15+2 1/5; = 142/15 + 11/5 = 142/15 + 33/15 = 175/15 = 11 10/15
б)2 5/32-1 7/36; = 69/32 - 43/36 = 277/288
в)2 7/16-(2 3/8 - 1 2/3) + 2 7/12 = 39/16 - (19/8 - 5/3) - 31/12 = 39/16 - (57/24 - 40/24) - 31/12 = 39/16 - 17/24 + 31/12 = 151/48 + 31/12 = 83/48 + 124/48 = 207/48 = 4 5/16 

3 - (х + 1 1/5)=1 3/25
3 - (х + 6/5) = 28/25
х+6/5=3- 28/25 = 75/25 - 28/25
х + 6/5 = 47/25
х = 47/25 - 6/5 = 47/25 - 30/25
х = 17/25
я сокращать вообщето не особо умею, может кто еще подскажет, ну вот что у меня получилось:
а/17 * b/2(Числитель)         1/17 * 1/2         1/17 *1
 =    = = 1/17 : 1/6 = 1/17 * 6/1 = 6/17 
а/12*b(Знаменатель)            1/12 * 1           1/6 * 1
4,6(55 оценок)
Ответ:
ruslanasd94rus
ruslanasd94rus
11.02.2020
Пусть 100, 105, ... 995 - последователь чисел, делящихся на 5. Эта последовательность является арифметической прогрессией с первым членом a1=100 и разностью прогрессии d=5.

Пользуясь формулой n-го члена арифметической прогрессии, найдем количество трехзначных чисел, кратных 5.

a_n=a_1+(n-1)d\\ 995=100+5(n-1)\\ 199=20+n-1\\ n=180

Найдем теперь сумму первых 180 членов арифметической прогрессии
S_{180}= \dfrac{2\cdot100+179\cdot 5}{2}\cdot 180 =98550

Из этих 180 чисел есть те числа, которые не делятся на 7. Т.е. исследуем последовательность 105, 140, ...., 980 делящихся на 35

a_n=a_1+(n-1)d\\ 980=105+35(n-1)\\ 28=3+n-1\\ n=26

Сумма первых 26 членов этой прогрессии:
                          S_{26}= \dfrac{2\cdot 105+35\cdot 25}{2}\cdot 26 =14105  - сумма тех трехзначных чисел которые делятся на 5 и на 7

Окончательный ответ S_{180}-S_{26}=98550-14105=84445 
4,6(61 оценок)
Это интересно:
Новые ответы от MOGZ: Алгебра
logo
Вход Регистрация
Что ты хочешь узнать?
Спроси Mozg
Открыть лучший ответ