М
Молодежь
К
Компьютеры-и-электроника
Д
Дом-и-сад
С
Стиль-и-уход-за-собой
П
Праздники-и-традиции
Т
Транспорт
П
Путешествия
С
Семейная-жизнь
Ф
Философия-и-религия
Б
Без категории
М
Мир-работы
Х
Хобби-и-рукоделие
И
Искусство-и-развлечения
В
Взаимоотношения
З
Здоровье
К
Кулинария-и-гостеприимство
Ф
Финансы-и-бизнес
П
Питомцы-и-животные
О
Образование
О
Образование-и-коммуникации
Franni
Franni
13.02.2021 07:57 •  Алгебра

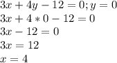
Для линейного уравнения 3х+4у-12=0 найдите значение х, если у=0

👇
Ответ:
krioss
krioss
13.02.2021

x=4

Объяснение:

3x+4y-12=0; y=0\\3x+4*0-12=0\\3x-12=0\\3x=12\\x=4

4,5(99 оценок)
Открыть все ответы
Ответ:
Derar
Derar
13.02.2021
1. График функции - квадратная парабола с коэффициентом сжатия по оси Х, равным 3.5, направленная ветвями вниз и смещенная по оси Y вниз на 2.6.
График функции симметричен относительно оси Y и функция принимает только отрицательные значения, поэтому ни одной точки графика функции нет в I  и II четвертях.
2. Выполним преобразования.
y=x²-12x+34=(x²-2*6x+6²)+34-6²=(x-6)²+34-36=(x-6)²-2
График функции - квадратная парабола, направленная ветвями вверх, смещенная по оси Y вниз на 2 и смещенная по оси Х вправо на 6.
Найдем точку пересечения графика функции с осью Y, для чего положим х=0 ⇒ y=34. Следовательно, ни одной точки графика функции нет в III четверти.

Вкаких координатных четвертях нет ни одной точки графика функции: а) y=-3,5x²-2,6; б) y=x²-12x+34? о
4,4(7 оценок)
Ответ:
nurik01viper
nurik01viper
13.02.2021
1. График функции - квадратная парабола с коэффициентом сжатия по оси Х, равным 3.5, направленная ветвями вниз и смещенная по оси Y вниз на 2.6.
График функции симметричен относительно оси Y и функция принимает только отрицательные значения, поэтому ни одной точки графика функции нет в I  и II четвертях.
2. Выполним преобразования.
y=x²-12x+34=(x²-2*6x+6²)+34-6²=(x-6)²+34-36=(x-6)²-2
График функции - квадратная парабола, направленная ветвями вверх, смещенная по оси Y вниз на 2 и смещенная по оси Х вправо на 6.
Найдем точку пересечения графика функции с осью Y, для чего положим х=0 ⇒ y=34. Следовательно, ни одной точки графика функции нет в III четверти.

Вкаких координатных четвертях нет ни одной точки графика функции: а) y=-3,5x²-2,6; б) y=x²-12x+34? о
4,8(47 оценок)
Это интересно:
Новые ответы от MOGZ: Алгебра
logo
Вход Регистрация
Что ты хочешь узнать?
Спроси Mozg
Открыть лучший ответ