 
                                                 
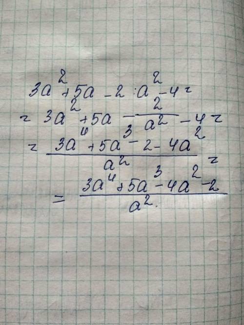
                                                3а^2+5а-2÷а^2-4=3а^2+5а-2/2а^2-4=(3а^4+5а^3-2-4а^2)/а^2.
°^°
Вот если 2 вариант
 
                                                 
                                                1) 56 км/ч * 4 ч= 224 км - пройдёт первый поезд за 4 часа.
2) 584 - 224= 360 км - оставшийся путь.
Теперь необходимо составить уравнение.
Пусть время за которое встретятся поезда х часов, тогда первый поезд за это время проедет 56*х, а второй 64*х, всего они проедут 56*х+64*х, что по условию задачи будет 360 км. Составим и решим уравнение:
56*х+64*х=360
х( 56+64) = 360
х = 360/120
х = 3 часа. проедут поезда до своей встречи
1) 4 + 3 = 7 часа - будет в пути первый поезд.
ответ: первый поезд будет в пути 7 часов, а второй 3 часа.
 
                                                №19.10
Довжина інтервалу — різниця між його верхньою і нижньою межами.
(0.6)^(x^2+3x+1) >= 0.6
Знак змінюється на протилежний, тому що основи менші за 1:
x^2+3x+1 <= 1
x^2+3x <= 0
D = b^2-4ac = 3^2 - 4*1*0 = 9
√D = 3
x1 = (-3+3)/2 = 0
x2 = (-3-3)/2 = -6/2 = -3
x є [-3; 0]
Довжина інтервалу — 0-(-3) = 3
Відповідь: г
№19.11
2^3x < 2^1/5
3x < 1/5
x < 1/15
x є (-∞; 1/15)
Найбільший цілий розв‘язок — 0
Відповідь: а
№19.12
9^(2x/3) >= 243
3^(4x/3) >= 3^5
4x/3 >= 5
x >= 15/4
x >= 3.75
x є [15/4; +∞)
Найменший натуральний розв‘язок — 4
Відповідь: б
№19.13
0.125^((x+1)/2) > 4
2^(-(3x+3)/2) > 2^2
-(3x+3)/2 > 2
3x+3 < -4
3x < -7
x < -7/3
x < -2.(3)
x є (-∞; -7/3)
Найбільший цілий розв‘язок — -3
Відповідь: в
№19.14
250*5^(3-x) - 2*5^(x-3) > 0
250*5^(3-x) > 2*5^(x-3) |:2
125*5^(3-x) > 5^(x-3)
5^(-x+6) > 5^(x-3)
-x+6 > x-3
-2x > -9
x < 9/2
x < 4.5
x є (-∞; 9/2)
Найбільший натуральний розв‘язок — 4
Відповідь: г
 
                                                 
                                                 
                                                 
                                                
Объяснение:
На скриншоте все розписал