М
Молодежь
К
Компьютеры-и-электроника
Д
Дом-и-сад
С
Стиль-и-уход-за-собой
П
Праздники-и-традиции
Т
Транспорт
П
Путешествия
С
Семейная-жизнь
Ф
Философия-и-религия
Б
Без категории
М
Мир-работы
Х
Хобби-и-рукоделие
И
Искусство-и-развлечения
В
Взаимоотношения
З
Здоровье
К
Кулинария-и-гостеприимство
Ф
Финансы-и-бизнес
П
Питомцы-и-животные
О
Образование
О
Образование-и-коммуникации
mary041
mary041
16.04.2022 23:28 •  Алгебра

Выразите k через m и h: \sqrt{k^2+h^2} +2k=m

👇
Ответ:
главный8
главный8
16.04.2022

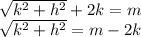
Нужно привести к квадратному уравнению и решить его относительно переменной k

\sqrt{k^2+h^2}+2k=m \\\sqrt{k^2+h^2}=m-2k \\

Теперь возведем обе части в квадрат:

\displaystyle k^2+h^2=(m-2k)^2 \\k^2+h^2=m^2-4mk+4k^2 \\

И наконец решим уравнение относительно k:

\displaystyle 3k^2-4mk+(m^2-h^2)=0\\\\D=16m^2-12\cdot(m^2-h^2)=16m^2-12m^2+12h^2=4m^2+12h^2\\\\k_1={4m+\sqrt{4m^2+12h^2}\over6}={4m+2\sqrt{m^2+3h^2}=\over6}={2m+\sqrt{m^2+3h^2}\over3}\\\\k_2={4m-\sqrt{4m^2+12h^2}\over6}={4m-2\sqrt{m^2+3h^2}=\over6}={2m-\sqrt{m^2+3h^2}\over3}

4,4(43 оценок)
Ответ:
Sravkur
Sravkur
16.04.2022

Объяснение: решение в файле


Выразите k через m и h: <img src=" />
4,8(11 оценок)
Открыть все ответы
Ответ:
ejulere
ejulere
16.04.2022
Наверное, всё-таки на обратную дорогу он потратил на 5 минут больше

1 ч. 5 мин.=13/12 ч.

Пусть х км/ч - скорость на подъёме, тогда скорость на спуске - (х+2) км/ч. Пусть у км - расстояние от станции до вершины горы, тогда расстояние от вершины горы до озера - (5-у) км. На дорогу от станции до озера рыболов затратил y/x+(5-y)/(x+2) или 1 час; на обратную дорогу - (5-у)/х + у/(х+2) или 1,1 часа. Составим и решим систему уравнений:

Произведём подстановку:

Домножим второе уравнение на 12/25:
По теореме Виета корнями уравнения являются 4 и -1,2. Так как скорость не может быть отрицательным числом, получаем, что скорость на подъёме была равна 4 км/ч, а на спуске 4+2=6 км/ч.

Путь от станции до вершины (4^2-3*4)/2=2 км, от вершины до озера 5-2=3 км.

ответ: скорость на подъёме 4 км/ч, скорость на спуске 6 км/ч.
4,5(73 оценок)
Ответ:
wasdas390wasdas390
wasdas390wasdas390
16.04.2022
Для погоды на 4, 5 и 6 июля есть 4 варианта событий (таких, что 6-го числа погода должна быть отличная):
«А»   хорошая-хорошая-отличная
«В»   хорошая-отличная-отличная
«С»   отличная-хорошая-отличная
«D»   отличная-отличная-отличная
Найдем вероятности наступления такой погоды:
P(A) = 0,8×0,8×0,2 = 0,128
P(B) = 0,8×0,2×0,8 = 0,128
P(C) = 0,2×0,2×0,2 = 0,008
P(D) = 0,2×0,8×0,8 = 0,128
Указанные события несовместные (то есть каждое из них может произойти независимо). Искомая вероятность равна сумме вероятностей этих событий:
P(A) + P(B) + P(C) + P(D) = 0,128 + 0,128 + 0,008 + 0,128 = 0,392
ответ: 0,392
4,7(93 оценок)
Новые ответы от MOGZ: Алгебра
logo
Вход Регистрация
Что ты хочешь узнать?
Спроси Mozg
Открыть лучший ответ