М
Молодежь
К
Компьютеры-и-электроника
Д
Дом-и-сад
С
Стиль-и-уход-за-собой
П
Праздники-и-традиции
Т
Транспорт
П
Путешествия
С
Семейная-жизнь
Ф
Философия-и-религия
Б
Без категории
М
Мир-работы
Х
Хобби-и-рукоделие
И
Искусство-и-развлечения
В
Взаимоотношения
З
Здоровье
К
Кулинария-и-гостеприимство
Ф
Финансы-и-бизнес
П
Питомцы-и-животные
О
Образование
О
Образование-и-коммуникации
lloginova58
lloginova58
23.01.2022 21:14 •  Алгебра

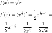
Знайдіть похідну функції f(x)=√x

👇
Ответ:
wkolo3avr211
wkolo3avr211
23.01.2022

\displaystyle f(x)=\sqrt x\\\\f'(x)=(x^{\frac12})'=\frac12 x^{\frac12 -1} =\\\\=\frac12 x^{-\frac12} =\frac1{2x^{\frac12}}=\frac1{2\sqrt x}

ответ: 1/(2√x).

4,7(16 оценок)
Открыть все ответы
Ответ:
frnkiero1133324
frnkiero1133324
23.01.2022

1)  y=x2-4x+3 - ветви направлены вверх

  х=)/2*1=4/2=2

  у=2*2-4*2+3=4-8+3=-1

  (2, -1) - координаты вершины параболы

2)y=-x2-12x+1 - верви направлены вниз

    х=)/2*(-1)=12/(-2)=-6

    у=-6*(-6)-12*(-6)+1=-36+72+1=37

  (-6, 37) - координаты вершины параболы

3)y=x2-10x+15 - верви направлены вверх

    х=)/2*1=10/2=5

    у=5*5-10*5+15=25-50+15=-10

  (5,   -10) - координаты вершины параболы

4)y=x2-7x+32.5 - верви направлены вверх

  х=)/2*1=7/2=3,5

  у=3,5*3,5-7*3,5+32,5=12,25-24,5+32,5=20,25

(3,5 ; 20,25) - координаты вершины параболы

4,7(11 оценок)
Ответ:
СоваИгорь
СоваИгорь
23.01.2022

обозначим скорость мотоцикла m, а скорость автомобиля а км/мин.

длина трассы 40 км.

за 20 мин мотоцикл проехал 20m км. в этот момент выехал автомобиль.

через 30 мин автомобиль догнал мотоцикл, проехав 30a км.

мотоцикл к этому моменту проехал 20m
+ 30m = 50m км.

30a = 50m; a = 5m/3

еще через 40 минут мотоцикл проехал 40m км, а автомобиль на 1 круг больше, то есть 40a км.

40a = 40m + 40

a = m + 1 = 5m/3

m + 1 = m + 2m/3

2m/3 = 1

m = 3/2 = 1,5 км/мин =
1,5*60 км/ч = 90 км/ч - скорость мотоцикла.

a = 5m/3 = 5*90/3 = 5*30 = 150 км/ч - скорость автомобиля.

4,7(4 оценок)
Новые ответы от MOGZ: Алгебра
logo
Вход Регистрация
Что ты хочешь узнать?
Спроси Mozg
Открыть лучший ответ