М
Молодежь
К
Компьютеры-и-электроника
Д
Дом-и-сад
С
Стиль-и-уход-за-собой
П
Праздники-и-традиции
Т
Транспорт
П
Путешествия
С
Семейная-жизнь
Ф
Философия-и-религия
Б
Без категории
М
Мир-работы
Х
Хобби-и-рукоделие
И
Искусство-и-развлечения
В
Взаимоотношения
З
Здоровье
К
Кулинария-и-гостеприимство
Ф
Финансы-и-бизнес
П
Питомцы-и-животные
О
Образование
О
Образование-и-коммуникации
BorzikovaLiza5
BorzikovaLiza5
16.04.2023 21:07 •  Алгебра

Розвяжіть систему рівнянь підстановки x-3y=8 2x-y=6

👇
Ответ:
Tjfjfjcgjgk
Tjfjfjcgjgk
16.04.2023

Відповідь:

Пояснення:


Розвяжіть систему рівнянь підстановки x-3y=8 2x-y=6
4,6(88 оценок)
Ответ:
farid32222245
farid32222245
16.04.2023

2; -2.

Объяснение:

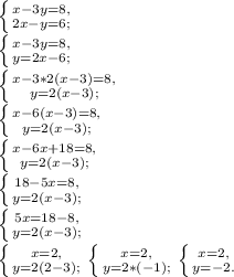
\left \{ {{x-3y=8,} \atop {2x-y=6;}} \right. \\\left \{ {{x-3y=8,} \atop {y=2x-6;}} \right. \\\left \{ {{x-3*2(x-3)=8,} \atop {y=2(x-3);}} \right. \\\left \{ {{x-6(x-3)=8,} \atop {y=2(x-3);}} \right. \\\left \{ {{x-6x+18=8,} \atop {y=2(x-3);}} \right. \\\left \{ {{18-5x=8,} \atop {y=2(x-3);}} \right. \\\left \{ {{5x=18-8,} \atop {y=2(x-3);}} \right. \\\left \{ {{x=2,} \atop {y=2(2-3);}} \right. \left \{ {{x=2,} \atop {y=2*(-1);}} \right. \left \{ {{x=2,} \atop {y=-2.}} \right.

4,5(40 оценок)
Открыть все ответы
Ответ:
urukhaiz
urukhaiz
16.04.2023
a-x^2 \geq |sinx|

График  y=|sinx|  расположен выше оси ОХ.
Точки пересечения с осью ОХ:  x=\pi n\; ,\; n\in Z .
Графики функций  y=a-x^2 - это параболы , ветви
которых направлены вниз, а вершины в точках (0, а).
При х=0  sin0=0 и точка (0,0) является точкой пересечения 
графика у=|sinx| и оси ОУ, на которой находятся вершины парабол.
При а=0 графики y=|sinx| и y=x² имеют одну точку пересе-
чения - (0,0), при а<0  точек пересе-
чения вообще нет. А при а>0 будет всегда 2 точки пересе-
чения этих графиков и соответственно, будет выполняться
заданное неравенство.
То есть одна точка пересечения при а=0.
ответ:  а=0.
При каком значении параметра а неравенство а-x^2больше или равно|sinx| имеет единственное решение? н
4,5(7 оценок)
Ответ:
Няшка1097
Няшка1097
16.04.2023
Решение
1)  2sin x-1=0
sinx = 1/2
x = (-1)^n arcsin(1/2) + πk, k∈Z
x = (-1)^n (π/6) + πk, k∈Z
2)  cos(2x+П/6)+1=0
cos(2x+П/6) = - 1
2x+П/6 = π + 2πn, n∈Z
2x = π - π/6 + 2πn, n∈Z
2x = 5π/6 + 2πn, n∈Z
x = 5π/12 + πn, n∈Z
3)  6sin²x - 5cosx + 5 = 0
6(1 - cos²x) - 5cosx + 5 = 0
6 - 6cos²x - 5cosx + 5 = 0
6cos²x + 5cosx - 11 = 0
cosx = t, ItI ≤ 1
6t² + 5t - 11 = 0
D = 25 + 4*6*11 = 289
t₁ = (- 5 - 17)/12
t₁ = - 22/12
t₁ = -11/6
t₁ = - 1 (5/6) не удовлетворяет условию ItI ≤ 1
t₂ = (- 5 + 11)/12
t₂ = 1/2
cosx = 1/2
x = (+ -)arccos(1/2) + 2πm, m∈Z
 x = (+ -) *(π/3) + 2πm, m∈Z
4,5(29 оценок)
Это интересно:
Новые ответы от MOGZ: Алгебра
logo
Вход Регистрация
Что ты хочешь узнать?
Спроси Mozg
Открыть лучший ответ