М
Молодежь
К
Компьютеры-и-электроника
Д
Дом-и-сад
С
Стиль-и-уход-за-собой
П
Праздники-и-традиции
Т
Транспорт
П
Путешествия
С
Семейная-жизнь
Ф
Философия-и-религия
Б
Без категории
М
Мир-работы
Х
Хобби-и-рукоделие
И
Искусство-и-развлечения
В
Взаимоотношения
З
Здоровье
К
Кулинария-и-гостеприимство
Ф
Финансы-и-бизнес
П
Питомцы-и-животные
О
Образование
О
Образование-и-коммуникации
anelya1429
anelya1429
27.04.2023 11:56 •  Алгебра

Коренями якого з наведених квадратних членів є числа -0.2 і 5?
а) 3х2-5х+4;
б)8х2+2х-5;
в) 10х2-3х-1;
г)6х2+7х+3

👇
Ответ:

Можно банально подставить эти числа в уравнения и найти то, где решение будет равно 0, но я решу через дискриминант:

a) 3x^2 - 5x + 4 = 0\\D = -5^2 - 4 * 3 * 4 = 25 - 48 = -23

Если D < 0, то корней нету.

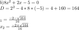
b) 8x^2 + 2x - 5 = 0\\D = 2^2 - 4 * 8 * (-5) = 4 + 160 = 164\\\\\x_1 = \frac{-2 - \sqrt{164} }{16}\\x_2 = \frac{-2 + \sqrt{164} }{16}

Не оно.

c) 10x^2 -3x - 1 = 0\\D = -3^2 - 4 * 10 * (-1) = 9 + 40 = 49\\\\\x_1 = \frac{3 - \sqrt{49}}{2 * 10} = \frac{3 - 7}{20} = -\frac{4}{20} = -\frac{1}{5} = -0.2\\x_2 = \frac{3 + \sqrt{49}}{2 * 10} = \frac{3 + 7}{20} = \frac{10}{20} = \frac{1}{2} = 0.5\\

Оно?..

d) 6x^2 + 7x + 3 = 0\\D = 7^2 - 4 * 6 * 3 = 49 - 72 = -23\\\\\\\

Если D < 0, то корней нету.

4,4(50 оценок)
Открыть все ответы
Ответ:
polinapolina971
polinapolina971
27.04.2023
Объяснения тут сводятся вот к чему: в теории вероятностей есть 2 очень важных союза: И и ИЛИ. Математически они записываются соответственно как знак * и знак +. Кроме того есть частица "НЕ", которая записывается как "1-..."
В данной задаче соответственно у нас возможен следующий ряд событий:
1) 0,9*0,8*0,7= 0,504 (50,4%), т.е. попадает первый стрелок И попадает второй стрелок И попадает третий стрелок, иначе говоря все стрелки поразят цель. Это и есть ответ к вопросу а)
2) 0,9*0,8*0,3=0,216, т.е. попадает первый стрелок И попадает второй стрелок И НЕ попадает третий стрелок, иначе говоря промахивается только третий
3) 0,9*0,2*0,7=0,126, т.е. промахивается второй
4) 0,1*0,8*0,7=0,056, т.е. промахивается первый
5) 0,1*0,2*0,7=0,014, т.е. промахивается первый и второй
6) 0,9*0,2*0,3=0,054, т.е. промахивается второй и третий
7) 0,1*0,8*0,3=0,024, т.е. промахивается первый и третий
8) 0,1*0,2*0,3=0,006, т.е. все промахнулись
Соответственно двое из стрелков у нас промахиваются в событиях №5,№6 и№7. Иначе говоря, нас интересует вероятность события №5 ИЛИ вероятность события №6 ИЛИ вероятность события №7, т.е.: 0,014+0,054+0,024=0,092 (9,2%). Это ответ к вопросу б)
4,4(63 оценок)
Ответ:
Веттуня
Веттуня
27.04.2023
0,01*(1-3х)> 0.02x+3.01
0.01 - 0.03x>0.02x+3.01
0.02x+0.03x<0.01-3.01
0.05x< -3
x< -3:0.05
x<60
( -∞; 60)

12(1-12x)+100x>36-49x
12-144x+100x>36-49x
49x -44x>36-12
 - 5x>24
5x< - 24
x< - 24:5
x< - 4.8
(-∞; -4.8)

(0.6y-1)-0.2(3y+1)<5y-4
0.6y-1-0.6y-0.2<5y-4
-1.2<5y-4
5y>4-1.2
5y>2.8
y>2.8:5
y>0.56
(0.56; ∞)

2/3*(6x+4) - 1/6(12x-5)≤4-6x
4x+8/3 - 2x+5/6≤4-6x
6x+6x≤4-5/6-2 2/3
12x≤4 - 5/6 - 2 4/6
12x≤4-3 1/2
12x≤0.5
x≤0.5:12
x≤1/24
(-∞; 1/24]

(3a+1)(a-1) -3a²>6a+7
3a² - 3a+a-1 -3a²>6a+7
- 2a - 1>6a+7
6a+2a< - 1 - 7
8a< -8
a< -1
(-∞; -1)

15x² - (5x-2)(3x+1)<7x-8
15x² - 15x² - 5x+6x+2<7x-8
7x+5x>7+2
12x>9
x>9:12
x>3/4
(3/4; ∞)
4,6(76 оценок)
Это интересно:
Новые ответы от MOGZ: Алгебра
logo
Вход Регистрация
Что ты хочешь узнать?
Спроси Mozg
Открыть лучший ответ