М
Молодежь
К
Компьютеры-и-электроника
Д
Дом-и-сад
С
Стиль-и-уход-за-собой
П
Праздники-и-традиции
Т
Транспорт
П
Путешествия
С
Семейная-жизнь
Ф
Философия-и-религия
Б
Без категории
М
Мир-работы
Х
Хобби-и-рукоделие
И
Искусство-и-развлечения
В
Взаимоотношения
З
Здоровье
К
Кулинария-и-гостеприимство
Ф
Финансы-и-бизнес
П
Питомцы-и-животные
О
Образование
О
Образование-и-коммуникации
сергей4995258
сергей4995258
29.07.2022 03:14 •  Алгебра

При якому значенні x числа x-2, x+1 і 5x+1 утворюються геометричну прогресію

👇
Ответ:
ainura8326
ainura8326
29.07.2022

Объяснение:

x-2; x+1; 5x+1.       ⇒

b₁=x-2; b₂=x+1; b₃=5x+1.

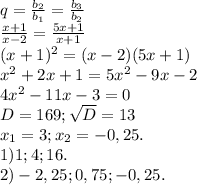
q=\frac{b_2}{b_1} =\frac{b_3}{b_2}\\\frac{x+1}{x-2} =\frac{5x+1}{x+1} \\(x+1)^2=(x-2)(5x+1)\\x^{2} +2x+1=5x^{2} -9x-2\\4x^2-11x-3=0\\D=169;\sqrt{D}=13\\x_1=3;x_2=-0,25.\\1) 1; 4; 16.\\2)-2,25; 0,75; -0,25.

4,5(89 оценок)
Открыть все ответы
Ответ:
yulya678
yulya678
29.07.2022

Подбрасывают 3 игральные кости.

Найти вероятности того, что

а) на трех костях выпадут разные грани


Всего граней 6. При выкидывании 3-х кубиков всего может выпасть

6*6*6 вариантов выпадения разных комбинаций граней.

Теперь посмотрим варианты выпадения РАЗЛИЧНЫХ граней.

если на первой выпадет одна из 6, то на второй одна из 5 и на третьей одна из 4. Всего 6*5*4


Значит вероятность (6*5*4)/(6*6*6)=20/36=5/9


б) хотя бы на одной из костей выпадет шестерка

Вероятность выпадения 6 очков при одном броске кости равна 1/6, тогда

Вероятность того, что не выпадет 6 очков 5/6.

Вероятность того, что при броске трех костей не выпадет ни разу 6 очков равна (5/6)³

И тогда вероятность выпадения шестерки

1-(125/216)=91/216

4,8(89 оценок)
Ответ:
mlizim
mlizim
29.07.2022
Не уверен,т.к ответы странные получились.
N-все варианты
А-событие
N(A)-кол-во благоприятных для нас вариантов
P(A)= N(A)/N - вероятность

N=6*6*6=216

1) А - на всех трех костях выпало одинаковое колл-во очков
N(A) = 6 (т.к выпасть может 111; 222; 333; 444; 555; 666)
P(A)= 6/216=1/36

2) A - сумма очков на всех костях равна 4
N(A)=3 (т.к может выпасть только такая комбинация - 112;121;211)
P(A)=3/216=1/72

3)A-сумма очков на всех костях равна 5
N(A)=6 (т.к благоприятна только такая комбинация - 113,131,311,221,212,122)
P(A)=6/216=1/36
4,7(20 оценок)
Это интересно:
Новые ответы от MOGZ: Алгебра
logo
Вход Регистрация
Что ты хочешь узнать?
Спроси Mozg
Открыть лучший ответ