
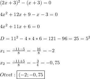
Объяснение:
(2х+3)²-(х+3)=0


Пробное ГИА, задание С5?;) Если есть ещё какие-нибудь вопросы по этой работе в личку.
Дано :
Треугольник ABC
AM, BN - медианы
Д-ть:
Треугольник AOB подобен треугольнику MON
Решение:
Нужно произвести дополнительное построение и провести отрезок MN ( Для того, чтоб получить треугольник MON, который нам нужен для решения задачи)
1)ABC - треугольник
AM,BN - медианы
O- точка пересечения
Из этого следует, что AO\OM = 2\1 ; BO\ON = 2\1 ( По теореме о медианах треугольника. Медины точкой пересечения делятся на два отрезка, которые относятся как 2 к 1 )
2)Треугольники AOB и MON
AO\OM = 2\1
BO\ON = 2\1
Углы BOA и MON - вертикальные
Из этого следует, что треугольники подобны по второму признаку ( Две сходственные стороны подобны, а угол между ними равен)
Что и требовалось доказать.
Дано :
Треугольник ABC
AM, BN - медианы
Д-ть:
Треугольник AOB подобен треугольнику MON
Решение:
Нужно произвести дополнительное построение и провести отрезок MN ( Для того, чтоб получить треугольник MON, который нам нужен для решения задачи)
1)ABC - треугольник
AM,BN - медианы
O- точка пересечения
Из этого следует, что AO\OM = 2\1 ; BO\ON = 2\1 ( По теореме о медианах треугольника. Медины точкой пересечения делятся на два отрезка, которые относятся как 2 к 1 )
2)Треугольники AOB и MON
AO\OM = 2\1
BO\ON = 2\1
Углы BOA и MON - вертикальные
Из этого следует, что треугольники подобны по второму признаку ( Две сходственные стороны подобны, а угол между ними равен)
Что и требовалось доказать