М
Молодежь
К
Компьютеры-и-электроника
Д
Дом-и-сад
С
Стиль-и-уход-за-собой
П
Праздники-и-традиции
Т
Транспорт
П
Путешествия
С
Семейная-жизнь
Ф
Философия-и-религия
Б
Без категории
М
Мир-работы
Х
Хобби-и-рукоделие
И
Искусство-и-развлечения
В
Взаимоотношения
З
Здоровье
К
Кулинария-и-гостеприимство
Ф
Финансы-и-бизнес
П
Питомцы-и-животные
О
Образование
О
Образование-и-коммуникации
isheh09ow2mth
isheh09ow2mth
09.02.2021 05:54 •  Алгебра

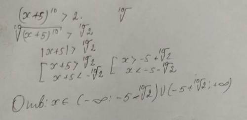
Решите неравентсво: (x+5)¹⁰>2

👇
Ответ:
karolinamurzak
karolinamurzak
09.02.2021

ответ приложено

Объяснение:


Решите неравентсво: (x+5)¹⁰>2
4,6(57 оценок)
Открыть все ответы
Ответ:
Daniilyushka
Daniilyushka
09.02.2021
A(2 ; 4) 4=2^2 точка А принадлежит
B(3  ;6) 6<3^2 точка B не принадлежит
C(4 ; 8) 8<4^2 точка C не принадлежит
D(-3 ; 9) 9= (-3)^2 точка D принадлежит
R(0,5 ; 0,25) 0,25=0,5^2 точка R принадлежит  
S(1,2 ; 2,4) 2,4>1,2^2 точка S не принадлежит
E(1,5 ; 3) 3>1,5^2 точка Е не принадлежит
F(-2,5 ; 6,25) 6,25= (-2,5)^2 точка F принадлежит 
K(1\2 ; 1\4) 1/4=1/2^2 точка K принадлежит
P(2\3 ; 4\9) 4/9=2/3^2 точка P принадлежит
L(-5\7 ; 25\49) 25/49= (-5/7)^2 точка L принадлежит
M(-11\12 ; -121\144) -121/144< (-11/22)^2 точка M не принадлежит
4,6(56 оценок)
Ответ:
Felissia12
Felissia12
09.02.2021
1.
а) {x²+2x-3>0
    {2-x>0
x²+2x-3>0
f(x)=x²+2x-3 - парабола, ветви вверх.
x²+2x-3=0
D=2² -4*(-3)=4+12=16
x₁= -2-4 = -3
        2
x₂ = -2+4 =1
           2
       +                 -                  +
-3 1
                       
x∈(-∞; -3) U (1; +∞)

2-x>0
-x>-2
x<2
                   
-3 1 2

x∈(-∞; -3) U (1; 2)

б) {x²-3x-4≥0
    {25-x²>0

x²-3x-4≥0
f(x)=x²-3x-4 - парабола,ветви вверх.
x²-3x-4=0
D=(-3)² - 4*(-4)=9+16=25
x₁= 3-5 = -1
        2
x₂= 3+5 =4
         2
       +                -                  +
-1 4
                     
x∈(-∞; -1]U[4; +∞)

25-х²>0
-x²+25>0
f(x)=-x²+25
-x²+25=0
D=0 - 4*(-1)*25=100
x₁= 0-10 =-5
        2
x₂ = 0+10 =5
          2
          -                      +              -                
-5 5
                   
x∈(-5; 5)
                       
-5 -1 4 5
               
x∈(-5; -1] U [4; 5)

в) {x+4>1
    {-x²-x+6>0

x+4>1
x>1-4
x>-3
-3
                     

-x²-x+6>0
f(x)=-x²-x+6 - парабола, ветви вниз
-x²-x+6=0
D=(-1)² -4*(-1)*6=1+24=25
x₁=1 - 5 = 2
       -2
x₂ = 1+5 = -3
         -2
      -                    +                    -
-3 2
                 
x∈(-3; 2)
                 
-3 2
               
х∈(-3; 2)

г) {-x²+x+12≤0
   {x²-7x>0

-x²+x+12≤0
f(x)=-x²+x+12 - парабола, ветви вниз
-x²+x+12 =0
x²-x-12=0
D=1²-4*(-12)=1+48=49
x₁=1-7 = -3
       2
x₂= 1+7 = 4
        2
        -                     +                    -
-3 4
                         
x∈(-∞; -3] U [4; +∞)

х² -7х>0
f(x)=x²-7x - парабола, ветви вверх
х²-7х=0
х(х-7)=0
х₁=0
х₂=7
      +                -                    +
0 7
                       
х∈(-∞; 0) U (7; +∞)

                                        
-3 0 4 7
                                                    
x∈(-∞; -3] U (7; +∞)
4,6(8 оценок)
Новые ответы от MOGZ: Алгебра
logo
Вход Регистрация
Что ты хочешь узнать?
Спроси Mozg
Открыть лучший ответ