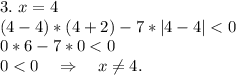
Объяснение:
у = sin(x)
Область определения: D(f) = (-∞; +∞) или D(f)∈RОбласть значения: E(f) = [-1; 1]Нули функций: x₀ = πn, n∈ZЧетность функций: sin(-x) = -sin(x) - нечетнаяПериод функций: sin(x+T) = sin(x) ⇒ T = 2πПромежутки монотонности:y = sin(x)↑ на [-π/2 + 2πn; π/2 + 2πn], n∈Z
y = sin(x)↓ на [π/2 + 2πn; 3π/2 + 2πn], n∈Z
Промежутки знакомо постоянства:y>0 при x∈(0 + 2πn; π + 2πn), n∈Z
y<0 при x∈(π + 2πn; 2π + 2πn), n∈Z
Наибольшее и наименьшее:y = 1 - наибольшее при x = π/2 + 2πn,n∈Z;
y = -1 - наименьшее при x = − π/2 + 2πn,n∈Z;
Обратимость: y = arcsin(x) на [- π/2; π/2]Ограниченность: Ограничена сверху и снизуПроизводная: y = (sin(x))' = cos(x)График: (показано внизу)↓
На второй полке 32 книги, на третьей полке 40 книг.
Объяснение:
Будем считать, что в вопросе задачи опечатка, и требуется вместо яблок в корзинах найти количество книг на второй и третьей полках. Поэтому, так как по условию нам сказано, что на первой полке стоит 36 книг, а количество книг на второй полке составляет
от количества книг на первой полке, поэтому приняв количество книг на первой полке за единицу а количество книг на второй полке за икс, составим пропорцию:

Откуда, принятое за x количество книг на второй полке будет равно:
книги на второй полке.
И эти 32 книги будут составлять 80% от количества книг на третьей полке, поэтому составляем еще одну пропорцию, приняв количество книг на третьей полке за 100%:
%
%
Аналогичным решения пропорции "крест на крест", находим количество книг на третьей полке:
книг на третьей полке.
Получаем ответ: на второй полке 32 книги, на третьей полке 40 книг.
Объяснение:
-∞__+__-9__-__4__+__+∞
x∈(-9;4).
-∞__+__4__-__5__+__+∞
x∈(4;5).
ответ: x∈(-9;4)U(4;5).