М
Молодежь
К
Компьютеры-и-электроника
Д
Дом-и-сад
С
Стиль-и-уход-за-собой
П
Праздники-и-традиции
Т
Транспорт
П
Путешествия
С
Семейная-жизнь
Ф
Философия-и-религия
Б
Без категории
М
Мир-работы
Х
Хобби-и-рукоделие
И
Искусство-и-развлечения
В
Взаимоотношения
З
Здоровье
К
Кулинария-и-гостеприимство
Ф
Финансы-и-бизнес
П
Питомцы-и-животные
О
Образование
О
Образование-и-коммуникации
Б45
Б45
13.03.2022 09:59 •  Алгебра

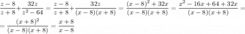
ть вираз z-8/z+8 + 32z/z^2-64
Скорее

👇
Ответ:

\dfrac{z-8}{z+8}+\dfrac{32z}{z^2-64} = \dfrac{z-8}{z+8}+\dfrac{32z}{(x-8)(x+8)} = \dfrac{(x-8)^2+32x}{(x-8)(x+8)} = \dfrac{x^2-16x+64+32x}{(x-8)(x+8)} =\\= \dfrac{(x+8)^2}{(x-8)(x+8)} = \dfrac{x+8}{x-8}

4,6(62 оценок)
Открыть все ответы
Ответ:
diaries1
diaries1
13.03.2022
1)Найдите a₁₀26; 23; ...
решение:
d = 23 - 26 = -3
a₁₀ = a₁ + 9d = 26 +9*(-3) = 26 -27 = -1
2) Является ли число 30 членом арифметической прогрессии
 а1=4;  а4=8,5
решение:
а₄ = а₁ + 3d
8,5 = 4 +3d
3d = 4,5
d = 1,5
an = a₁ + d(n-1)
30 = 4 +1,5(n-1)
30 = 4 +1,5n -1,5
1,5n = 27,5
n = 27,5 : 1,5 =55/3 - число не целое
вывод: 30 не является членом прогрессии.
3)Вычислите S₁₉, если  an=15-3n
а₁ = 15 - 3*1 = 12
а₁₉ = 15 - 3*19 = 15 - 57 = -42
S₁₉ =(12 -42)*19/2 = -15*19 = 2854)Сколько положительных членов содержится в арифметической прогрессии 12,6; 12,1; ... ?
а₁ = 12,6
d = 12,1 - 12,6 = -0,5
an = a₁ + d(n-1)
a₁ + d(n-1) > 0
12,6 -0,5(n-1) > 0, ⇒12,6 -0,5n +0,5 > 0, ⇒ -0,5n > -13,1, ⇒ n < 26,2
ответ: 26
4,5(99 оценок)
Ответ:
flslskns
flslskns
13.03.2022
В задаче отсутствует вопрос. Исхожу из предположения, что требуется определить время движения. 
t = S/v = 400/v.
Но скорость задана не конкретным значением, а границами. Значит время можно только оценить.
 50<v<80  заменим обратными числами,при этом меняем знак неравенства.
1/50 > 1/v > 1/80. Запишем в привычном виде:  1/80 < 1/v < 1/50. Теперь умножим все части неравенства на 400.
400/80< 400/v< 400/50. 
5< t<8. Значит при заданных условиях время движения от 5 до 8 часов.
4,6(4 оценок)
Это интересно:
Новые ответы от MOGZ: Алгебра
logo
Вход Регистрация
Что ты хочешь узнать?
Спроси Mozg
Открыть лучший ответ