М
Молодежь
К
Компьютеры-и-электроника
Д
Дом-и-сад
С
Стиль-и-уход-за-собой
П
Праздники-и-традиции
Т
Транспорт
П
Путешествия
С
Семейная-жизнь
Ф
Философия-и-религия
Б
Без категории
М
Мир-работы
Х
Хобби-и-рукоделие
И
Искусство-и-развлечения
В
Взаимоотношения
З
Здоровье
К
Кулинария-и-гостеприимство
Ф
Финансы-и-бизнес
П
Питомцы-и-животные
О
Образование
О
Образование-и-коммуникации
SleepCat12
SleepCat12
19.09.2021 04:54 •  Алгебра

Автомобиль выехал с постоянной скоростью из пункта а в пункт в, расстояние между которым 300 км. на следующий день он отправился обратно, при этом скорость его была на 20 км/ч больше прежней. оказалось что на путь он затратил на 1 час и 15мин меньше чем на путь из а и в найдите скорость автомобиля из в в а. желательно с

👇
Ответ:
алиса153426
алиса153426
19.09.2021

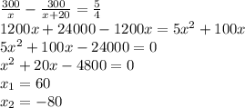
скорость туда=х

скорость обратно=х+20

\frac{300}{x}-\frac{300}{x+20}=\frac{5}{4}\\ 1200x+24000-1200x=5x^2+100x\\ 5x^2+100x-24000=0\\ x^2+20x-4800=0\\ x_1=60\\x_2=-80

60 км /ч скорость туда

60+20 =80 км/ч скорость обратно

4,6(43 оценок)
Открыть все ответы
Ответ:
lidaat
lidaat
19.09.2021

1. Принимаем за х величину одного из чисел, за у значение другого числа.

2. Составим два уравнения:

(1) х + у = 18; х = 18 - у;

(2) ху = 65;

3. Подставляем значение х = 18 - у из первого уравнения во второе уравнение:

(18 - у)у = 65;

18у - у² = 65;

у² - 18у + 65 = 0;

Первое значение у = (18 + √324 + 4 х 65)/2 = (18 + √64)/2 = (18 + 8)/2 = 13.

Второе значение у = (18 - 8)/2 = 5.

Первое значение х = 18 - 13 = 5.

Второе значение х = 18 - 5 = 13.

ответ: значение одного из чисел 5, другого 13.

Объяснение:

4,4(68 оценок)
Ответ:
ksusha020504
ksusha020504
19.09.2021

1.

На первое место можно выбрать любую из 11-ти команд на второе -любую из 10-ти оставшихся команд на третье  -любую из 9-ти оставшихся команд Выбор и на первое и на второе и на третье место по правилу умножения три вершины - три места, на три места можно разместить три буквы Выложим все предметы в один ряд, добавим к ним 3  разделяющих предмета. Переставим всеми возможными данных одинаковых предметов и3 разделяющих. Каждая такая перестановка определяет один из распределения. А именно предметы, расположенные до первого разделителя, положим в первый ящик, предметы, расположенные между первым и вторым разделителем, – во второй ящик, между вторым и третьим  разделителем во третий, предметы расположенные после 3-его  разделителя – в 4-ый ящик. По формуле перестановок с повторениями

P(14,3)=С³₁₇=17!/((17-3)!·3!)=15·16·17/6=680

4.

n=20

делятся на 5:

5; 10; 15; 20  - четыре числа

делятся на 3:

3; 6; 9; 12; 15; 18  -шесть  чисел

Делящихся на 5 или на 3

9 чисел ( 15 повторяется)

m=9

p=m/n=9/20

6.

Всего 10 цифр на два места их можно разместить четных цифр 5:

0;2;4;6;8

На одно место

любую из пяти цифр, на второе место - любую из пяти цифр

Всего шар в одном, два в другом и три в третьем

1шар можно разместить в любой из трех ящиков - три После этого два шара можно разместить в два оставшихся ящика, два Три шара осталось положить в третий ящик

4,8(89 оценок)
Это интересно:
Новые ответы от MOGZ: Алгебра
logo
Вход Регистрация
Что ты хочешь узнать?
Спроси Mozg
Открыть лучший ответ