1. 
2. Функция возрастает на промежутке 
3. функция принимает не отрицательныe значения при
![\displaystyle \boldsymbol { x \in \bigg(+\infty;\;-\frac{5}{3} \bigg]\; \cup\; \bigg[-1;\;+\infty\bigg)}](/tpl/images/4978/0818/9c8d0.png)
Объяснение:
f(x) = 3x² + 8x + 5
1. Найти меньшее значение функции.
График этой функции - парабола ветвями вверх.
Минимум функции достигается в вершине параболы.
Координата х₀ вершины по формуле

Тогда

2. Указать промежуток роста графика функции
Функция возрастает на промежутке 
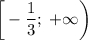
3. Найдите значение аргументов, при которых функция принимает не отрицательные значения
3x² + 8x + 5 ≥ 0
Сначала найдем нули функции
Приведем квадратное уравнение и применим теорему Виета
- при этих значениях функция f(x) = 0
И теперь, поскольку это парабола ветвями вверх, неравенство
3x² + 8x + 5 ≥ 0 выполняется при
![\displaystyle x \in \bigg(+\infty;\;-\frac{5}{3} \bigg]\; \cup\; \bigg[-1;\;+\infty\bigg)](/tpl/images/4978/0818/51136.png)
В левой части стоит квадратный корень, который неотрицателен . Значит он может быть меньше только положительного выражения . Но сумма квадр. корней тоже неотрицательна . Поэтому условие положительности суммы квадр. корней можно не писать .
ОДЗ:
Возведём в квадрат обе части неравенства .

Теперь неравенство будет эквивалентно совокупности двух систем.
или

Нашли нули функции
.
Решаем неравенство
методом интервалов. Наносим нули функции на числовую ось и вычисляем знаки на получившихся промежутках . Надо выбрать любое число, принадлежащее интервалу , подставить его в функцию, и определить , какой знак принимает ф-ция в нужном интервале .
Например,

![5x-x^2\geq 0\ \ \to \ \ x(5-x)\geq 0\ \ ,\ \ x(x-5)\leq 0\ \ \Rightarrow znaki:\ \ +++[\, 0\,]--[\, 5\,]+++\ \ ,\ \ \ \ x\in [\ 0\ ;\ 5\ ]16-2x\geq 0\ \ \to 16\geq 2x\ \ ,\ \ 2x\leq 16\ \ ,\ \ x\leq 4\ \ \Rightarrow \ \ x\in (-\infty \, ;\, 4\ ]](/tpl/images/4978/1070/6c51f.png)

ответ: 11; –17
Объяснение:
а решение не знаю, ответила наугад