 
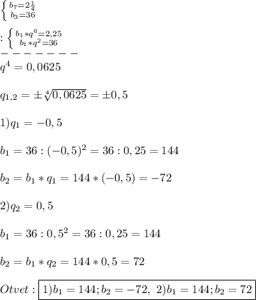
                                                ![\left \{ {{b_{7}=2\frac{1}{4}} \atop {b_{3}=36 }} \right.\\\\:\left \{ {{b_{1}*q^{6}=2,25} \atop {b_{1}* q^{2}=36 }} \right.\\-------\\q^{4} =0,0625\\\\q_{1,2}=\pm \sqrt[4]{0,0625}=\pm0,5\\\\1)q_{1} =-0,5\\\\b_{1}=36:(-0,5)^{2} =36:0,25=144\\\\b_{2}=b_{1}*q_{1} =144*(-0,5)=-72\\\\2)q_{2} =0,5\\\\b_{1}=36:0,5^{2} =36:0,25=144\\\\b_{2}=b_{1}*q_{2} =144*0,5=72\\\\Otvet:\boxed{1)b_{1}=144;b_{2}=-72 , \ 2)b_{1} =144;b_{2}=72}](/tpl/images/1610/9423/acd8a.png)
 
                                                Пусть b1,b2,,bn, - члены прогрессии, а q - её знаменатель. Сумма прогрессии S=b1/(1-q). По условию, b1/(1-q)=6. Одновременно по условию S1=b1²+b2²++bn²+=12. Но S=b1*(1+q+q²+q³), а S1=b1²*(1+q²+q⁴+q⁶+). Получена система уравнений:
b1*(1+q+q²+q³)=6
b1²*(1+q²+q⁴+q⁶+)=12
Возведём первое уравнение в квадрат:
b1²*(1+q+q²+q³)²=36
b1²*(1+q²+q⁴+q⁶+)=12
Разделив теперь первое уравнение на второе, придём к уравнению относительно q: (1+q+q²+q³+)²/(1+q²+q⁴+q⁶+)=3. Но в скобках числителя - бесконечная геометрическая прогрессия со знаменателем q, её сумма S2=1/(1-q). В скобках знаменателя - бесконечная геометрическая прогрессия со знаменателем q², её сумма S3=1/(1-q²). Отсюда следует уравнение (1-q²)/(1-q)²=3, которое приводится к квадратному уравнению 2*q²-3*q+1=0. Решая его, находим q1=1 и q2=1/2. Но при q=1 сумма прогрессии была бы равна бесконечности, поэтому q=1/2. ответ: 1/2.
 
                                                Обозначим трапецию АВСD, AB=CD, АD=16√3, ∠BAD=60°. ∠ABD=90°. Треугольник АВD- прямоугольный, ⇒ ∠АDB=180°-90°-60°=30°. Сторона АВ противолежит углу 30° и равна половине AD. АВ=8√3. Опустим высоту ВН на большее основание. Треугольник АВН - прямоугольный, ∠ АВН=180°-90°-60°=30°. Катет АН=АВ:2=4√3. ⇒ DH=AD-AH=16√3-4√3=12√3. Высота ВН=АВ•sin60°=8√3•(√3/2)=12. Высота равнобедренной трапеции, проведенная из тупого угла, дели основание на отрезки, больший из которых равен полусумме оснований, меньший - их полуразности⇒ DH=(AD+BC):2. Площадь трапеции равна произведению высоты на полусумму оснований. S(ABCD)=BH•DH=12•12√3=144√3 (ед. площади)
==========
Как вариант решения можно доказать, что треугольник DCB - равнобедренный, ВС=CD=AB, вычислить длину высоты и затем площадь ABCD.
 
                                                 
                                                 
                                                 
                                                 
                                                 
                                                