М
Молодежь
К
Компьютеры-и-электроника
Д
Дом-и-сад
С
Стиль-и-уход-за-собой
П
Праздники-и-традиции
Т
Транспорт
П
Путешествия
С
Семейная-жизнь
Ф
Философия-и-религия
Б
Без категории
М
Мир-работы
Х
Хобби-и-рукоделие
И
Искусство-и-развлечения
В
Взаимоотношения
З
Здоровье
К
Кулинария-и-гостеприимство
Ф
Финансы-и-бизнес
П
Питомцы-и-животные
О
Образование
О
Образование-и-коммуникации
Nikita20000005
Nikita20000005
08.05.2023 04:59 •  Алгебра

(а-3)²-6(2-а), при а= 0,5​

👇
Ответ:
sveta484
sveta484
08.05.2023

(а-3)²-6(2-а) при а=0,5

а²-6а+9-12+6а=

а²-3 = (0,5)²-3 = 0,25-3 = -2,75

ответ: -2,75.

4,6(2 оценок)
Ответ:
vika8330
vika8330
08.05.2023

-4,75

Объяснение:

1. Преобразуем выражение:

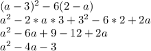
(a-3)^2-6(2-a)\\a^2-2*a*3+3^2-6*2+2a\\a^2-6a+9-12+2a\\a^2-4a-3

2. Подставим a = 0,5,тогда:

(0,5)^2-4*0,5-3\\0,25-2-3\\0,25-5=-4,75

4,6(55 оценок)
Открыть все ответы
Ответ:
курочка5
курочка5
08.05.2023
М. Ю. Лермонтов родился в 1814 году Тарханах (Пенза).
В 14 лет будущий поэт отличавшийся хорошим прилежанием отменно знал русский.
В 1831 году Лермонтов потерял отца.
Весной 1832 года Лермонтов запросил бумаги о рождении и крещении а в июне попросил выдать ему свидетельство об обучении в Московском Университете для перевода в Императорский Санкт-Петербургский университет но там ему отказали.
Тогда Лермонтов поступил в школу гвардейских подпрапорщиков и кавалерийсих юникеров.
Лермонтов погиб в 1841 году на дуэли. 
4,8(12 оценок)
Ответ:
ValeraShara
ValeraShara
08.05.2023
М. Ю. Лермонтов родился в 1814 году Тарханах (Пенза).
В 14 лет будущий поэт отличавшийся хорошим прилежанием отменно знал русский.
В 1831 году Лермонтов потерял отца.
Весной 1832 года Лермонтов запросил бумаги о рождении и крещении а в июне попросил выдать ему свидетельство об обучении в Московском Университете для перевода в Императорский Санкт-Петербургский университет но там ему отказали.
Тогда Лермонтов поступил в школу гвардейских подпрапорщиков и кавалерийсих юникеров.
Лермонтов погиб в 1841 году на дуэли. 
4,5(19 оценок)
Это интересно:
Новые ответы от MOGZ: Алгебра
logo
Вход Регистрация
Что ты хочешь узнать?
Спроси Mozg
Открыть лучший ответ