М
Молодежь
К
Компьютеры-и-электроника
Д
Дом-и-сад
С
Стиль-и-уход-за-собой
П
Праздники-и-традиции
Т
Транспорт
П
Путешествия
С
Семейная-жизнь
Ф
Философия-и-религия
Б
Без категории
М
Мир-работы
Х
Хобби-и-рукоделие
И
Искусство-и-развлечения
В
Взаимоотношения
З
Здоровье
К
Кулинария-и-гостеприимство
Ф
Финансы-и-бизнес
П
Питомцы-и-животные
О
Образование
О
Образование-и-коммуникации
vikfffff
vikfffff
21.08.2021 07:08 •  Алгебра

Х²-5х+6=0 решите равенство второго степеня

👇
Ответ:
pro68
pro68
21.08.2021
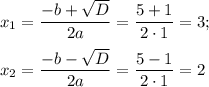
Дискриминант квадратного уравнения:
      D=b^2-4ac=(-5)^2-4\cdot 1\cdot6=25-24=1

Поскольку D>0, то квадратное уравнение имеет два действительных корня.

x_1= \dfrac{-b+ \sqrt{D} }{2a} = \dfrac{5+1}{2\cdot 1} =3;\\ \\ x_2= \dfrac{-b- \sqrt{D} }{2a} = \dfrac{5-1}{2\cdot 1} =2
4,5(41 оценок)
Открыть все ответы
Ответ:
MAXIMUS111111111
MAXIMUS111111111
21.08.2021

1.

Примем всю работу за 1.
Тогда 5*(Х+У) = 1 - первый вариант, а 4*(2*Х+0,5*У) = 1 - второй вариант, где
Х - количество работы первого рабочего
У - количество работы второго рабочего
Исходя из этого получаем
5*(Х+У) = 4*(2*Х+0,5*У)
5Х+5У = 8Х+2У
5У-2У = 8Х-5Х
3У = 3Х , из чего следует что Х=У ( рабочие работают одинаково)
Тогда
5*(Х+Х) = 1
10Х = 1
Х = 0,1
Соответственно всю работу один рабочий выполнит за 10 дней

2. a+b/a-b=8/1

a²-b²=128

a+b=8a-8b из этого ур-я выражаем b, b=7/9a и подставляем его во второе

a²-b²=128

a²-49/81a²=128

81a²-49a²=128·81

32a²=10368

a²=324

a1=-18, a2=18

b1=7/9·(-18)=-14

b2=7/9·18=14

ответ :(-18,-14) или (18,14)
  

4,5(88 оценок)
Ответ:
Kimbra8
Kimbra8
21.08.2021

пусть х - одно число, а у - второе, тогда имеем систему уравнений

Из первого уравнения получаем х1=-5 и х2=3. Подставляем во второе, получаем у1=-16 у2=-8
ответ: 2 решения (-5, -16) и (3, -8)

2.Обозначение: х – первое число; у – второе число
Система:
(х+у)/(у-х) = 8
х^2 – y^2 =128
Из первого уравнения у = (7/9)х
Подставляем во второе уравнение.
Получим два корня квадратного уравнения: х1 = 24; х2 = - 24.
Соответственно, у1 = 56/3; у2 = -56/3
ответ: задача имеет два решения:
х1 = 24; у1 = 56/3;
и
х2 = - 24; у2 = -56/3.

4,5(51 оценок)
Это интересно:
Новые ответы от MOGZ: Алгебра
Полный доступ к MOGZ
Живи умнее Безлимитный доступ к MOGZ Оформи подписку
logo
Вход Регистрация
Что ты хочешь узнать?
Спроси Mozg
Открыть лучший ответ