М
Молодежь
К
Компьютеры-и-электроника
Д
Дом-и-сад
С
Стиль-и-уход-за-собой
П
Праздники-и-традиции
Т
Транспорт
П
Путешествия
С
Семейная-жизнь
Ф
Философия-и-религия
Б
Без категории
М
Мир-работы
Х
Хобби-и-рукоделие
И
Искусство-и-развлечения
В
Взаимоотношения
З
Здоровье
К
Кулинария-и-гостеприимство
Ф
Финансы-и-бизнес
П
Питомцы-и-животные
О
Образование
О
Образование-и-коммуникации
gulindanil05
gulindanil05
16.02.2022 02:39 •  Алгебра

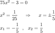
Знайдіть корені рівняння 75х2 – 3 = 0.

👇
Ответ:
sofiiishtepa
sofiiishtepa
16.02.2022

75x^2-3=0\\\\x^2=\dfrac{1}{25}\ \ \ \ \Rightarrow \ \ \ \ x=\pm \dfrac{1}{5}\\\\x_1=-\dfrac{1}{5}\ \ ,\ \ x_2=\dfrac{1}{5}

4,7(29 оценок)
Ответ:
bambam4
bambam4
16.02.2022

В решении.

Объяснение:

Знайдіть корені рівняння 75х² – 3 = 0.

75х² – 3 = 0

75х² = 3

х² = 3/75

х = ±√3/75

х = ±√3/(25*3)

х = ±√1/25

х = ±1/5

4,7(12 оценок)
Открыть все ответы
Ответ:
ruba35
ruba35
16.02.2022
Составляем систему и решаем её:
а1+а3=9 1/3
а1-а3=2/3
выражаем одну переменную через другую и подставляем во второе уравнение:
а1=9 1/3-а3
9 1/3-а3-а3=2/3 приводим подобные
-2а3=-8 2/3 делим на (-2), получаем: а3=4 1/3
находим а1: а1=9 1/3 - 4 1/3 =5.
найдем разность прогрессии d: а3=а1+2*d откуда d=(а3-а1)/2,
d=(4 1/3 - 5)/2= - 1/3
по формуле найдем а4: а4=а1+3d, а4 = 5 + 3* (-1/3)=5-1=4
чтобы найти номер члена надо использовать формулу: а с индексом n=а1+d*(n-1)
подставляем значения и находим n: -6=5-1/3*(n-1)
-1/3*(n-1)=-11
n-1=33
n=34
ответ: 4; 34
4,4(33 оценок)
Ответ:
Kalimovnadir
Kalimovnadir
16.02.2022
 Пусть x деталей/ч -- проивзодительность певой бригады, тогда (x-4) -- производительность второй бригады.
144/(x-4) - 120/x = 3;
48/(x-4) - 40/x = 1; 48x - 40(x-4) = x(x-4);
x^2 - 12x - 160 = 0;
x = 6 + sqrt (36+160) = 6 + 14 = 20 (деталей/ч) -- производительность первой бригады; (отрицательный корень отбрасываем),
тогда производительность второй бригады равна 20-4 = 16 (деталей/ч).
(Проверяем: первая бригада работала 120/20=6 часов, вторая -- 144/16=9 часов, т. е. на три часа дольше первой -- всё сходится).
ОТВЕТ: производительность первой бригады 20 деталей/ч; второй бригады -- 16 деталей/ч.
4,6(90 оценок)
Новые ответы от MOGZ: Алгебра
logo
Вход Регистрация
Что ты хочешь узнать?
Спроси Mozg
Открыть лучший ответ