 
                                                 
                                                III. Формулювання мети і завдань уроку
Формулюємо проблему: як знайти значення виразу
.
де х1 і х2 – корені даного квадратного рівняння (не розв'язуючи рівняння)? Пошук відповіді на це запитання і вивчення сфери застосування теореми Вієта та теореми, оберненої до неї (вдосконалення вмінь), — основна мета уроку.
IV. Актуалізація опорних знань та вмінь
Виконання усних вправ
1. Замініть рівняння рівносильним йому зведеним квадратним рівняння:
а) 3х2 – 6х – 9 = 0; б) 2у2 + у – 7 = 0; в) х2 – 3х + 1,5 = 0
та знайдіть суму і добуток його коренів.
2. Наведіть приклад квадратного рівняння, в якого:
а) один корінь дорівнює нулю, а другий — не дорівнює нулю;
б) обидва корені дорівнюють нулю;
в) немає дійсних коренів;
г) корені — протилежні ірраціональні числа.
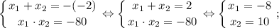
3. Один із коренів квадратного рівняння х2 + 4х – 21 = 0 дорівнює
 
                                                Для того, чтобы найти сумму первых двадцати членов арифметической прогрессии заданной формулой n - го члена прогрессии an = 3n + 2 прежде всего вспомним формулу для нахождения суммы n первых членов арифметической прогрессии.
Sn= (a1 + an)/2 * n.
Из заданной формулы найдем первый и двадцатый член арифметической прогрессии:
a1 = 3 * 1 + 2 = 3 + 2 = 5;
a20 = 3 * 20 + 2 = 60 + 2 = 62.
Теперь можем подставить найденные значения в формулу для нахождения суммы и произвести вычисления.
S20= (a1 + a20)/2 * 20 = (5 + 62)/2 * 20 = 67/2 * 20 = 67 * 10= 670.
Объяснение:
 
                                                 
                                                 
                                                 
                                                
Объяснение: