М
Молодежь
К
Компьютеры-и-электроника
Д
Дом-и-сад
С
Стиль-и-уход-за-собой
П
Праздники-и-традиции
Т
Транспорт
П
Путешествия
С
Семейная-жизнь
Ф
Философия-и-религия
Б
Без категории
М
Мир-работы
Х
Хобби-и-рукоделие
И
Искусство-и-развлечения
В
Взаимоотношения
З
Здоровье
К
Кулинария-и-гостеприимство
Ф
Финансы-и-бизнес
П
Питомцы-и-животные
О
Образование
О
Образование-и-коммуникации
xatovaan
xatovaan
01.09.2020 07:10 •  Алгебра

S-интеграл. s sin^2(2x). нужно по формуле понижения степени сначала наимичить а потом по формуле извлечь.

👇
Ответ:
ALDIAR11
ALDIAR11
01.09.2020

sin²2x=1/2(1-cos4x)=1/2-1/2cos4x  

∫(1/2-1/2cos4x) dx=1/2 *x-1/2 *1/4 *sin4x+C=x/2-(sin4x)/8+C

 

 

4,8(7 оценок)
Ответ:
ghosthog
ghosthog
01.09.2020

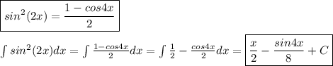
\boxed{sin^2(2x)=\frac{1-cos4x}2}\\\\\int sin^2(2x)dx=\int \frac{1-cos4x}2dx=\int\frac{1}2-\frac{cos4x}2dx=\boxed{\frac{x}2-\frac{sin4x}8+C}

4,8(86 оценок)
Открыть все ответы
Ответ:
елена1810
елена1810
01.09.2020
       ПодпискаЦветной журнал с электронными приложениями;Бумажные и электронные версии;Скидки постоянным подписчикам.Вы можете ознакомиться с номером журнала.Оформить подписку"Многочлены и действия над ними". Алгебра. 7-й класс Грудачева Александра Николаевна, учитель математикиРазделы: Преподавание математики Цели: обобщение и закрепление пройденного материала: повторить понятие многочлена, правило умножения многочлена на многочлен и закрепить это правило в ходе выполнения  тестовой работы, закрепить навыки решения уравнений и задач с уравнений.Оборудование: плакат «Кто смолоду делает и думает сам, тот и становится потом надёжнее, крепче, умнее» (В. Шукшин). Кодоскоп, магнитная доска, кроссворд, карточки-тесты.План урока.1. Организационный момент.
2. Проверка домашнего задания.
3. Устные упражнения (разгадывание кроссворда).
4. Решение упражнений по теме.
5. Тест по теме: « Многочлены и действия над ними» (4 варианта).
6. Итоги урока.
7. Домашнее задание.Ход урокаI. Организационный момент Учащиеся класса делятся на группы по 4-5 человек, выбирается старший в группе.II. Проверка домашнего задания. Домашнее задание учащиеся готовят на карточке дома.  Каждый ученик проверяет свою работу через кодоскоп. Учитель предлагает оценить домашнюю работу самому ученику и поставит оценку в ведомости, сообщая критерий оценки: «5» ─ задание выполнено верно и самостоятельно; «4» ─ задание выполнено верно и полностью, но с родителей или одноклассников; «3» ─ во всех остальных случаях, если задание выполнено. Если задание не выполнено, можно поставить прочерк.III. Устные упражнения.1) Для повторения теоретических вопросов учащимся предлагается кроссворд. Кроссворд решают группой устно, и ответы дают учащиеся из разных групп. Выставляем оценки: «5» ─ 7 верных слов, «4» ─ 5,6 верных слов, «3» ─ 4 верных слова.Вопросы для кроссворда:  (см. Приложение 1)Свойство умножения, используемое при умножении одночлена на многочлен разложения многочлена на множители; равенство, верное при любых значениях переменной; выражение, представляющее собой сумму одночленов; слагаемые, имеющие одну и ту же буквенную часть; значение переменной, при котором уравнение обращается в верное  равенство; числовой множитель у одночленов.2) Выполните действия:а) (3х – 5у) + (4х – 3у)
в) 5а2(4а – 2)
б) (6а ─  4b) – (5а + b)
г) (2а – 3)(4 – а)IV. Письменные упражнения по теме: « Многочлены и действия над ними».1. Выполните действия:а) –5а(а2 – 3а – 4 );
б) (m ─ 2n)(m + 2n─1);
в) (5b – 1)(b2 – 5b + 1);
г) (а3 – а2 + а – 1)(а + 1).2. Решите уравнения:а) 3х2 – (3х + 2)(х – 1) = 8
б) (3х – 2)(2х + 3) – (6х2 – 85) = 99
в) (1 – х)(х + 4) + х(х +4) = 0ответ: х = 6.
ответ: х = 4.
ответ: х = –4.
4,7(49 оценок)
Ответ:
m1a2s3h4a51999
m1a2s3h4a51999
01.09.2020
1)(х-3)(3х+2)=(5х-4)(3х-2)
3x^2 + 2x – 9x – 6 = 15x^2-10x-12x+8
15x^2 – 3x^2 – 22x +7x + 8 + 6 = 0
12x^2 – 15x + 14 = 0
D= -15^2 – 4*14*12 = 225 – 672 = -447
D<0
Корней нет.
2)(2х+7)(7-2х)=49+х·(х+2)
(7+2x)(7-2x)=49+x^2 +2x
49-4x^2=49+x^2 +2x
x^2 + 4x^2 +2x +49 – 49=0
5x^2 + 2x = 0
x(5x+2)=0
x=0; 5x+2=0
5x=-2
x=-2/5
x=-0,4
ответ: x=0; x=-0,4 №2
1)3х²-4х=0
x(3x-4)=0
x=0; 3x-4=0
3x=4
x=4/3
ответ: x=0; x=4/3
2)4х²-9=0
(2x-3)(2x+3)=0
2x-3=0; 2x+3=0
2x=3; 2x=-3
x=3/2; x=-3/2
ответ: x=1,5; x=-1,5
3)-5х²+6х=0
x(6-5x)=0
x=0; 6-5x=0
5x=6
x=6/5
ответ: x=1,2; x=0
4)-х²+3=0
х²=3
x=√3; x=-√3
ответ: x=√3; x=-√3
5)6u²-u=0
u(6u-1)=0
u=0; 6u-1=0
6u=1
u=1/6
ответ: u=0; u=1/6
6)2y+y²=0
y(2+y)=0
y=0; 2+y=0
y=-2
ответ: y=0; y=-2
4,8(65 оценок)
Это интересно:
Новые ответы от MOGZ: Алгебра
logo
Вход Регистрация
Что ты хочешь узнать?
Спроси Mozg
Открыть лучший ответ