М
Молодежь
К
Компьютеры-и-электроника
Д
Дом-и-сад
С
Стиль-и-уход-за-собой
П
Праздники-и-традиции
Т
Транспорт
П
Путешествия
С
Семейная-жизнь
Ф
Философия-и-религия
Б
Без категории
М
Мир-работы
Х
Хобби-и-рукоделие
И
Искусство-и-развлечения
В
Взаимоотношения
З
Здоровье
К
Кулинария-и-гостеприимство
Ф
Финансы-и-бизнес
П
Питомцы-и-животные
О
Образование
О
Образование-и-коммуникации
Nastya14231
Nastya14231
27.10.2021 11:29 •  Алгебра

2хквадрат-5х+2=0,напишыте полностю и быстро оч надо))за дискриминант

👇
Ответ:
Toma06000
Toma06000
27.10.2021

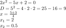
2x^2-5x+2=0 \\\ D=5^2-4\cdot2\cdot2=25-16=9 \\\ x=\frac{5\pm3}{4} \\\ x_1=2\\\ x_2=0.5

ответ: 2 и 0,5

4,6(20 оценок)
Ответ:
dana1835
dana1835
27.10.2021

2х²-5х+2=0

D=b²-4ac=5²-4*2*2=25-16=9=3²

x₁=(-b-√D):2a=(5-3):4=2:4=0.5

x₂=(-b+√D):2a=(5+3):4=8:4=2

4,7(2 оценок)
Открыть все ответы
Ответ:
krasotka8726
krasotka8726
27.10.2021
Пусть гвоздика стоит 10 ртогда роза стоит (180-10*2)/3=160/3=53.333(не кратно 10)Пусть гвоздика стоит 20 ртогда роза стоит (180-20*2)/3=140/3=46,667(не кратно 10)Пусть гвоздика стоит 30 ртогда роза стоит (180-30*2)/3=120/3=40(кратно 10)Пусть гвоздика стоит 40 ртогда роза стоит (180-40*2)/3=100/3=33,333(не кратно 10)Пусть гвоздика стоит 50 ртогда роза стоит (180-50*2)/3=80/3=26,667(не кратно 10)Пусть гвоздика стоит 60 ртогда роза стоит (180-60*2)/3=60/3=20(кратно 10)Пусть гвоздика стоит 70 ртогда роза стоит (180-70*2)/3=40/3=13,333(не кратно 10)Пусть гвоздика стоит 80 ртогда роза стоит (180-80*2)/3=20/3=6,667(не кратно 10) ответ: роза стоит 20 р, гвоздика 60или      роза стоит 40 р, гвоздика 30.
4,4(33 оценок)
Ответ:
reprto345mak
reprto345mak
27.10.2021
Проверим, есть ли критические точки  Найдем производную     у штрих=-4*sinX+13    -4*sinX+13=0    sinx= -13/4 <-1  Решений нет .А раз нет критических точек,  то просто проверим значение ф-ции на концах заданного интервала и сравним.
F(0)=4*cos0+13*0+9=4*1+9=13
F(3π/2)=4*cos(3π/2)+13*3π/2+9=4*0+39π/2+9=9+39π/2  Второе явно больше первого, если вместо пи подставить 3, 14.ответ будет  Fнаим=13.
Можно вообще не заморачиваться со сравнением значений, если в одном из них есть число пи или радикалы. Это В15 и ответы там должны быть целыми или конечными десятичными дробями
4,7(92 оценок)
Новые ответы от MOGZ: Алгебра
logo
Вход Регистрация
Что ты хочешь узнать?
Спроси Mozg
Открыть лучший ответ