М
Молодежь
К
Компьютеры-и-электроника
Д
Дом-и-сад
С
Стиль-и-уход-за-собой
П
Праздники-и-традиции
Т
Транспорт
П
Путешествия
С
Семейная-жизнь
Ф
Философия-и-религия
Б
Без категории
М
Мир-работы
Х
Хобби-и-рукоделие
И
Искусство-и-развлечения
В
Взаимоотношения
З
Здоровье
К
Кулинария-и-гостеприимство
Ф
Финансы-и-бизнес
П
Питомцы-и-животные
О
Образование
О
Образование-и-коммуникации
mk515
mk515
24.06.2022 11:02 •  Алгебра

Докажите что функция F(x)=x²+cosx-7 являеться первообразной для функции f(×)=2x-sinx

👇
Ответ:
GolDash
GolDash
24.06.2022

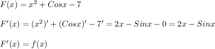
F(x)=x^{2}+Cosx-7\\\\F'(x) = (x^{2})'+(Cosx)'-7'=2x-Sinx-0=2x-Sinx\\\\F'(x)=f(x)

Если F'(x) = f(x) , то F(x) является первообразной для функции f(x) .

4,6(51 оценок)
Открыть все ответы
Ответ:
ianastepanenko
ianastepanenko
24.06.2022

ответ: v катера=18км/ч; v течения=2км/ч

Объяснение: пусть скорость катера будет "х", а скорость течения реки "у". Если катер шёл по течению 1 час, то он х+у)×1, так как к его скорости прибавилась скорость течения. Если он шёл по озеру и на озере течения нет, то он своей скоростью ещё 2 часа, т.е 2х и за это время он км. Составим уравнение: (х+у)×1+2х=56

Нам известно что катер шёл против течения 3 часа и км, тогда на обратном пути он шёл со скоростью (х-у)×3=48. Составим систему уравнений:

{(х+у)×1+2х=56.

{(х-у)3=48

{х+у+2х=56

{х-у=48÷3

{3х+у=56

{х-у=16

{3х+у=56

{х=16+у

Теперь подставим значение х в первое уравнение:

3(16+у)+у=56

48+3у+у=56

4у=56-48

4у=8

у=8÷4

у=2; скорость течения=2км/ч

Теперь найдём скорость катера, подставив значение у:

х=16+2=18км/ч; скорость катера 18км/ч

4,4(50 оценок)
Ответ:

ответ: v катера=18км/ч; v течения=2км/ч

Объяснение: пусть скорость катера будет "х", а скорость течения реки "у". Если катер шёл по течению 1 час, то он х+у)×1, так как к его скорости прибавилась скорость течения. Если он шёл по озеру и на озере течения нет, то он своей скоростью ещё 2 часа, т.е 2х и за это время он км. Составим уравнение: (х+у)×1+2х=56

Нам известно что катер шёл против течения 3 часа и км, тогда на обратном пути он шёл со скоростью (х-у)×3=48. Составим систему уравнений:

{(х+у)×1+2х=56.

{(х-у)3=48

{х+у+2х=56

{х-у=48÷3

{3х+у=56

{х-у=16

{3х+у=56

{х=16+у

Теперь подставим значение х в первое уравнение:

3(16+у)+у=56

48+3у+у=56

4у=56-48

4у=8

у=8÷4

у=2; скорость течения=2км/ч

Теперь найдём скорость катера, подставив значение у:

х=16+2=18км/ч; скорость катера 18км/ч

4,5(89 оценок)
Это интересно:
Новые ответы от MOGZ: Алгебра
Полный доступ к MOGZ
Живи умнее Безлимитный доступ к MOGZ Оформи подписку
logo
Вход Регистрация
Что ты хочешь узнать?
Спроси Mozg
Открыть лучший ответ