М
Молодежь
К
Компьютеры-и-электроника
Д
Дом-и-сад
С
Стиль-и-уход-за-собой
П
Праздники-и-традиции
Т
Транспорт
П
Путешествия
С
Семейная-жизнь
Ф
Философия-и-религия
Б
Без категории
М
Мир-работы
Х
Хобби-и-рукоделие
И
Искусство-и-развлечения
В
Взаимоотношения
З
Здоровье
К
Кулинария-и-гостеприимство
Ф
Финансы-и-бизнес
П
Питомцы-и-животные
О
Образование
О
Образование-и-коммуникации
KaKTyZzZz
KaKTyZzZz
29.01.2021 16:12 •  Алгебра

Найдите значения функции y=f(x) в заданных точках: 1) f(x)=2x(в квадрате)+3,x=-1; 2,5; 3 2)f(x)=(одна третья)-5x,x=-0,5; (одна пятнадцатая); 0 найдите область определения функции: 1)g(x)=2,5x-4,2 2)g(x)=3x(в квадрате)-7х+4 заранее ))

👇
Ответ:
k456789
k456789
29.01.2021
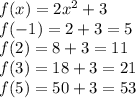
f(x)=2x^2+3\\f(-1)=2+3=5\\f(2)=8+3=11\\f(3)=18+3=21\\f(5)=50+3=53
f(x)=\cfrac{1}{3}-5x\\f\left(-\cfrac{1}{2}\right)=\cfrac{1}{3}-\cfrac{5}{2}=-\cfrac{13}{6}\\f\left(\cfrac{1}{15}\right)=\cfrac{1}{3}-\cfrac{1}{3}=0\\f(0)=\cfrac{1}{3}
g(x)=2,5x-4,2 - Область определения: x\in (-\infty;+\infty)
g(x)=3x^2-7x+4 - Область определения x\in (-\infty; +\infty)
4,4(96 оценок)
Открыть все ответы
Ответ:
benjulia
benjulia
29.01.2021
Решение:
Согласно условия задачи число А составляет 75% от числа В и это можно записать так:
А=75%*В :100%= 0,75В
 И также число А составляет 40% от числа С и это можно записать так:
А=40%*С :100%=0,4С
Число С на 42 больше числа В или:
С-42=В
То что выделено жирным шрифтом можно выразить равенством:
0,75А=0,4С
Из выражения С-42=В найдём число С
С=В+42 -подставим это в 0,75А=0,4С, получим:
0,75В=0,4*(В+42)
0,75В=0,4В +16,8
0,75В -0,4В=16,8
0,35В=16,8
В=16,8 : 0,35
В=48
Чтобы найти А, подставим В=48 в  А=0,75В
А=0,75*48=36

ответ: А=36; В=48
4,7(84 оценок)
Ответ:
jodydonig
jodydonig
29.01.2021
Пусть стороны а  и  b.
По теореме Пифагора
d²=a²+b²;
5²=a²+b²
S=a·b
12=a·b
Решаем систему
25=a²+b²
12=a·b    
Можно подбором найти. ответ 3 и 4.
Можно решить систему методом подстановки
Выразим  из второго уравнения 
b=12/a
и  подставим в первое уравнение

25=a²+(12/a)²;  а≠0
25a²=a⁴+144
Биквадратное уравнение:
(a²)²-25(a²)+144=0
D=625-576=49
a²=(25-7)/2=9      или     a²=(25+7)/2=16
 a=-3     или   a=3            a=-4       или    а=4
b=-4               b=4             b= -3               b=3
 Стороны прямоугольника не могут принимать отрицательные значения.
О т в е т. а=3; b=4    или   a=4; b=3 
4,7(14 оценок)
Это интересно:
Новые ответы от MOGZ: Алгебра
logo
Вход Регистрация
Что ты хочешь узнать?
Спроси Mozg
Открыть лучший ответ