М
Молодежь
К
Компьютеры-и-электроника
Д
Дом-и-сад
С
Стиль-и-уход-за-собой
П
Праздники-и-традиции
Т
Транспорт
П
Путешествия
С
Семейная-жизнь
Ф
Философия-и-религия
Б
Без категории
М
Мир-работы
Х
Хобби-и-рукоделие
И
Искусство-и-развлечения
В
Взаимоотношения
З
Здоровье
К
Кулинария-и-гостеприимство
Ф
Финансы-и-бизнес
П
Питомцы-и-животные
О
Образование
О
Образование-и-коммуникации
AdamAndEva
AdamAndEva
21.12.2022 14:21 •  Алгебра

Найти все корни уравнения (x^2+x)^2+4(x^2+x)-12=0 или вот:
(x²+x)²+4(x²+x)-12=0​
ЧЕРЕЗ ФОТОМАЧ НЕ НАДО ..

👇
Ответ:
honeybeyker
honeybeyker
21.12.2022

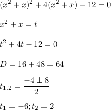
\displaystyle (x^2+x)^2+4(x^2+x)-12=0\\\\x^2+x=t\\\\t^2+4t-12=0\\\\D=16+48=64\\\\t_{1.2}=\frac{-4 \pm 8}{2}\\\\t_1=-6; t_2=2

1) t= -6

\displaystyle x^2+x=-6\\\\x^2+x+6=0\\\\D=1-24

корней нет

2) t=2

\displaystyle x^2+x=2\\\\x^2+x-2=0\\\\D=1+8=9\\\\x_{1.2}=\frac{-1 \pm3}{2}\\\\\ x_1=-2; x_2=1

4,6(97 оценок)
Открыть все ответы
Ответ:
blablabla43
blablabla43
21.12.2022

11; 12; 15; 24; 36

Объяснение:

Двузначные числа имеют вид 10a + b, причем a и b - однозначные числа. И число должно делиться на произведение цифр, то есть на ab.

10a + b = k*ab

10a = k*ab - b = b*(ka - 1)

1) ka - 1 = 10; ka = 11; a1 = 1;

k = 11 (других вариантов нет, так как 11 - простое число).

10*1 = b*(ka - 1) = b*(11 - 1) = b*10

b1 = 1

Решение: a = 1; b = 1; число 11 = 1*1*11

2) ka - 1 = 5; b = 2a; ka = 6

a2 = 1; b2 = 2; число 12 = 1*2*6

a3 = 2; b3 = 4; число 24 = 2*4*3

a4 = 3; b4 = 6; число 36 = 3*6*2

a5 = 6; b5 = 12 - не подходит.

3) ka - 1 = 2; b = 5a; ka = 3

a5 = 1; b5 = 5; число 15 = 1*5*3

a6 = 3; b6 = 5*3 = 15 - не подходит.

4,8(90 оценок)
Ответ:
Shkolnikvolodya
Shkolnikvolodya
21.12.2022
Составим уравнение прямой PQ.
(х - 3)/(36 - 3) = (у - 1)/(1000 - 1)
(х - 3)/33 = (у - 1)/999
(х - 3)/11 = (у - 1)/333
333х - 999 = 11у - 11
у = (333х - 988)/11
Чтобы у было целым, нужно, чтобы 333х - 988 делилось на 11
Первой координатой из интервала х∈[3; 36] является число 3.
Прибавляя к нему неизвестное число а, найдём его, тогда и найдём все целочисленные координаты точек
(333(3 + а) - 988) = (999 + 333а - 988) = (11 + 333а)
должно делиться на 11.
Это возможно только если а кратно 11.
теперь прибавляя к координате 3 числа кратные 11, получаем целочисленные координаты у
х1 = 3 + 11 = 14    у1 = 334
х2 = 3 + 22 = 25    у2 = 667
х3 = 3 + 33 = 36     у3 = 1000 - эта точка является конечной
таким образом между точками Р и Q  на прямой PQ находятся ещё ДВЕ точки с целочисленными координатами.
ответ: две точки
4,4(21 оценок)
Новые ответы от MOGZ: Алгебра
logo
Вход Регистрация
Что ты хочешь узнать?
Спроси Mozg
Открыть лучший ответ