 
                                                
 
                                                 
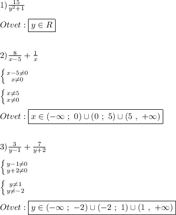
                                                5) 500/3*Π
Объяснение:
Объем шара выражается формулой:
V = 4/3*Π*R^3
Образующая конуса L, радиус конуса r и высота H образуют прямоугольный треугольник.
Гипотенуза L= 5, один катет H=2,5, второй катет по теореме Пифагора
r = 5*√3/2 = 2,5*√3
Это радиус основания конуса.
Углы в этом треугольнике 90°, 30° и 60°, причем 60° находится напротив радиуса конуса.
Теперь рассмотрим сферу.
В ней проходит два радиуса, один из центра сферы до вершины конуса, второй из центра сферы до любой точки на окружности конуса.
Радиусы одинаковые, и получается равнобедренный треугольник из R, R и L
При этом угол между R и L равен 60°. Значит, треугольник равносторонний.
Это значит, что R = L = 5 см.
Объем шара
V = 4/3*Π*R^3 = 4/3*Π*5^3 = 4/3*Π*125 = 500/3*Π
 
                                                 
                                                 
                                                 
                                                 
                                                 
                                                