
 
                                                 
                                                Надеюсь
Объяснение:
Номер 103:
Пусть первый цех изготовил х деталей, тогда второй 3х, а третий 1,5х
х + 3х + 1,5х = 729
5,5х = 729
х = 144 - деталей изготовил первый цех
144 × 3 = 432 - деталей изготовил второй цех
432 ÷ 2 = 216 - деталей изготовил третих цех
Номер 104:
Пусть каждая боковая сторона равнобедренного треугольника равна x см.
Основание составляет 3/4 боковой стороны или 0,75x см.
Известно, что периметр равен 22 см.
Решаем уравнение.
2x + 0,75x = 22,
2,75x = 22,
x = 22 : 2,75,
x = 8 (см) - боковая сторона.
0,75 * 8 = 6 (см) - основание.
ответ: Стороны треугольника 8 см, 8 см и 6 см.
Номер 105:
120 ÷ 2 = 60м полуметр (длины двух смежных сторон)
х ширина
2х длина
х + 2х = 60
х = 20м ширина
20 × 2 = 40м длина
 
                                                 
                                                 
                                                 
                                                 
                                                
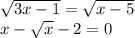
1.
ОДЗ:
Возведем обе части в квадрат:
- 2 не входит в ОДЗ, значит корней нет
ответ: корней нет.
2.
ответ: 4.