Вход
Регистрация
Спроси Mozg AI
М
Молодежь
К
Компьютеры-и-электроника
Д
Дом-и-сад
С
Стиль-и-уход-за-собой
П
Праздники-и-традиции
Т
Транспорт
П
Путешествия
С
Семейная-жизнь
Ф
Философия-и-религия
Б
Без категории
М
Мир-работы
Х
Хобби-и-рукоделие
И
Искусство-и-развлечения
В
Взаимоотношения
З
Здоровье
К
Кулинария-и-гостеприимство
Ф
Финансы-и-бизнес
П
Питомцы-и-животные
О
Образование
О
Образование-и-коммуникации
.....больше.....
..меньше..
ksyutitova2017p0bhz4
16.06.2020 07:40 •
Алгебра
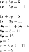
Найдите координаты точки пересечения прямых, заданных уравнениями х+ 5y=5 и x-3y=-11 Объясните
👇
Увидеть ответ
Ответ:
arsenijakula
16.06.2020
4,8
(51 оценок)
Открыть все ответы
Ответ:
Цыпленочка
16.06.2020
X^2+6x+9 x^2-y^2
a^2+4a+4 100-m^2
y^2+8y+16 0.01-a^2
c^2+12c+36 4m^2-1
4x^2+4x+1 c^2-9m^2
a^2+2ac+c^2 9b^2-25m^2
a^2+2ab+b^2 16c^2-81
x^2+2x+1 9-x^2
9+6y+y^2 m^2-k^2
9b^2+6b+1 16a^2-b^2
4x^2-20x+25
9y^2-48y+64
1-4x+4x^2
4a^2-36a+91
4,4
(16 оценок)
Ответ:
ruslan5632
16.06.2020
Если понравилось решение - нажимай " " и "лучший" (рядом с кнопкой " ") :)
а)х^3- 9х = х(х-3)(х+3)
б)-5а^2-10ав - 5в^2 = -5(a^2+2ab+b^2) = -5(a+b)^2
в)9х^2-(х-1)^2 = (3x-x+1)(3x+x-1)=(2x+1)(4x-1)
г)х^2-х-у^2-у = х^2-у^2-x-у=(x-y)(x+y)-(x+y)=(x+y)(x-y-1)
д) 16х^4 - 81=(4x²-9)(4x²+9)=(2x-3)(2x+3)(4x²+9)
Преобразовать выражение в многочлен:
а) 4а (а-2) - (а-4)^2 = 4a²-8a-a²+8a-16=3a²-16
б) (у^2-2у)^2 - у^2 (у+3)(у-3)=y^4-4y³+4y²-9y^4+9y²=-8y^4-4y³+13y²
в) (а-х)^2 * (а+х)^2 = (a²-2ax+x²)(a²+2ax+x²)=a^4 -4a²x-2a²x²+x^4
4,8
(23 оценок)
Это интересно:
И
Искусство-и-развлечения
19.02.2023
Как прочесть все книги из списка литературы на лето...
З
Здоровье
28.09.2022
Как прекратить повторение вертиго: причины, симптомы и методы лечения...
К
Компьютеры-и-электроника
10.05.2023
Как отправить код с помощью Telegram...
П
Праздники-и-традиции
28.09.2020
8 советов о том, как купить подарки на Рождество, если у вас немного денег...
К
Кулинария-и-гостеприимство
15.05.2021
Как заготовить розмарин: собираем и храним ароматные травы впрок...
К
Компьютеры-и-электроника
03.09.2021
11 способов, как экономить ресурсы в игре Clash of Clans...
К
Компьютеры-и-электроника
01.05.2021
Как найти все 7 Orichalcum+ в Kingdom Hearts 2...
К
Компьютеры-и-электроника
19.03.2022
Изучайте мир с Google Earth: Советы по установке на ваш компьютер...
К
Кулинария-и-гостеприимство
05.06.2023
Шаурма – быстрый и вкусный способ насытиться!...
В
Взаимоотношения
03.09.2021
Как встречаться с юристом: советы и рекомендации...
Новые ответы от MOGZ: Алгебра
виолетта111111111113
16.01.2021
Найдите первый член и разность арифметической прогрессии, в которой s5= -70, s10= -190....
ivan19852008
16.01.2021
Решите уравнение. а)х4-35х2-36=0 б)5 8 - = 3 х-3 х...
SofyaProstova
16.01.2021
Периметр прямоугольника равен 30 см.длины его смежных сторон относятся как 1: 4. найдите длины сторон этого прямоугольника. пусть а и b -длины сторон прямоугольника (в см),причем...
Alishkek
16.01.2021
Решить пример x(x-1)-x(x-3)=12 уравнение! b (x-4)в квадрате=x в квадрате -16...
platymax
16.01.2021
Решить систему уравнений. у-х=-3 х2-у2=63...
05971vitaznadez
16.01.2021
Токарь изготавливает 72 детали на 2 часа быстрее , чем его ученик . сколько деталей в час делает ученик , если известно , что за 1 час он делает на 6 деталей меньше , чем токарь...
lisi4ka228666
16.01.2021
Сколько граммов 3% и сколько граммов 8% раствора соли нужно взять, чтобы получить 260 г 5% раствора?...
megamozg42
16.01.2021
Дана арифметическая прогрессия: −4; −2; 0…. найдите сумму первых десяти её членов....
tazab705
02.06.2023
Формулы корней квадратного уравнения решить уравнение 1)12у в квадрате + 16у - 3=0 2)2у в квадрате - 5у - 3=0 3)5а в квадрате +9а+4=0 4)а в квадрате + 9а + 4=0...
david2005317
23.04.2023
Синтаксический разбор предложения оживает муравейник под старой сосной. ...
MOGZ ответил
Составить предложение со словом жигит...
Эпиграф к повести о петре и февронии муромских...
Скомплексными числами z1= 1-i и z2= -2+4i выполнить сложение, вычитание,...
6. хвойные деревья используют в медицине потому, что их: а) хвоя содержит...
Решить пример 1) 0,16^(0,5) (в 0.5 степени) * (2-(2/3)^(-2))^(-1)-6*(-3)^(...
Сделайте синквейн на тему права и обязанности кто сделает, тому 40 !...
Вкаком первобытном коллективе действовал обычай: один за всех и все за одного?...
Найдите приближение десятичной дроби 5,736 а) с недостатком б) с избытком...
Найдите четыре различных числа произведение которых равно 70...
Почему повесть карамзина бедная лиза мы можем отнести к произведениям сентиментализма?...
Полный доступ к MOGZ
Живи умнее Безлимитный доступ к MOGZ
Оформи подписку
О НАС
О нас
Блог
Условия пользования
Авторское право
Политика конфиденциальности
Предпочтения cookie-файлов
ПОМОЩЬ
Зарегистрируйся
Центр помощи
Центр безопасности
App
Вход
Регистрация
Что ты хочешь узнать?
Спроси Mozg
Открыть лучший ответ