М
Молодежь
К
Компьютеры-и-электроника
Д
Дом-и-сад
С
Стиль-и-уход-за-собой
П
Праздники-и-традиции
Т
Транспорт
П
Путешествия
С
Семейная-жизнь
Ф
Философия-и-религия
Б
Без категории
М
Мир-работы
Х
Хобби-и-рукоделие
И
Искусство-и-развлечения
В
Взаимоотношения
З
Здоровье
К
Кулинария-и-гостеприимство
Ф
Финансы-и-бизнес
П
Питомцы-и-животные
О
Образование
О
Образование-и-коммуникации
F1NN1
F1NN1
08.08.2022 05:28 •  Алгебра

напишите формулу корней квадратного уравнения ах2 + 2kх + с = 0

👇
Ответ:

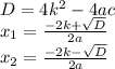
Формула корней квадратного уравнения через дискриминант (D)

D=4k^{2}-4ac\\x_{1} =\frac{-2k+\sqrt{D} }{2a} \\x_{2} =\frac{-2k-\sqrt{D} }{2a}

В целом, можно упростить так:

x_{1} =\frac{-2k+\sqrt{D} }{2a}=\frac{-2k+2\sqrt{k^{2}-ac } }{2a}=\frac{-k+\sqrt{k^{2}-ac } }{a} \\\\x_{2} =\frac{-2k-\sqrt{D} }{2a}=\frac{-2k-2\sqrt{k^{2}-ac } }{2a}=\frac{-k-\sqrt{k^{2}-ac } }{a}

4,4(25 оценок)
Открыть все ответы
Ответ:
В подобных задачах обычно используется теорема Пифагора и синусы, косинусы, тангенсы острых углов.

Теорема Пифагора может пригодится, если известно две стороны из трёх.
a² = b² + c²
a - гипотенуза; b, c - катеты.

Теперь остановимся на острых углах.

1) Один острый угол равен 45°. В таких задачах прямоугольный треугольник ещё и равнобедренный ⇒ равны катеты.

2) Один из острых углов равен 30° (60°). Есть одна теорема: напротив угла в 30° лежит катет в два раза меньше гипотенузы. Для большей наглядности возьмём треугольник ABC (∠C - прямой). Пусть ∠А = 30°, тогда AB (гипотенуза) = 2*BC (катет, напротив 30°)

3) Обычно острые углы в прямоугольном треугольнике либо равны 30°, 45°, 60°, либо даны синусы, косинусы, тангенсы этих углов ( например, tgA = 2)
В таких случаях надо выражать тангенс, синус или косинус через стороны.

Например в треугольнике ABC (∠C - прямой) BC = 14, а tgA = 2. Нужно найти AC.
Тангенс - отношение противолежащего катета к прилежащему, то есть tgA = BC : AC, подставив значения, находим AC = 7.

Приведу второй пример. Треугольник ABC (∠C - прямой), ∠A = 30°, AB = 8. Найти BC. Такую задачу можно решить по теореме, указанной выше под цифрой 2, или выразив сторону BC через синус.
Синус - отношение противолежащего катета к гипотенузе, то есть sinA = BC : AB. sinA = sin30° = 1/2. Подставив значения, находим BC = 4.
4,7(37 оценок)
Ответ:
SilverSalt
SilverSalt
08.08.2022
В подобных задачах обычно используется теорема Пифагора и синусы, косинусы, тангенсы острых углов.

Теорема Пифагора может пригодится, если известно две стороны из трёх.
a² = b² + c²
a - гипотенуза; b, c - катеты.

Теперь остановимся на острых углах.

1) Один острый угол равен 45°. В таких задачах прямоугольный треугольник ещё и равнобедренный ⇒ равны катеты.

2) Один из острых углов равен 30° (60°). Есть одна теорема: напротив угла в 30° лежит катет в два раза меньше гипотенузы. Для большей наглядности возьмём треугольник ABC (∠C - прямой). Пусть ∠А = 30°, тогда AB (гипотенуза) = 2*BC (катет, напротив 30°)

3) Обычно острые углы в прямоугольном треугольнике либо равны 30°, 45°, 60°, либо даны синусы, косинусы, тангенсы этих углов ( например, tgA = 2)
В таких случаях надо выражать тангенс, синус или косинус через стороны.

Например в треугольнике ABC (∠C - прямой) BC = 14, а tgA = 2. Нужно найти AC.
Тангенс - отношение противолежащего катета к прилежащему, то есть tgA = BC : AC, подставив значения, находим AC = 7.

Приведу второй пример. Треугольник ABC (∠C - прямой), ∠A = 30°, AB = 8. Найти BC. Такую задачу можно решить по теореме, указанной выше под цифрой 2, или выразив сторону BC через синус.
Синус - отношение противолежащего катета к гипотенузе, то есть sinA = BC : AB. sinA = sin30° = 1/2. Подставив значения, находим BC = 4.
4,5(86 оценок)
Это интересно:
Новые ответы от MOGZ: Алгебра
logo
Вход Регистрация
Что ты хочешь узнать?
Спроси Mozg
Открыть лучший ответ