q = 4
Объяснение:

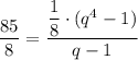
Сумма n членов геометрической прогрессии равна

n = 4


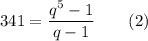
n= 5


Из (1) получим
q³ + q² + q + 1 = 85 (3)
Из (2) получим
q⁴ + q³ + q² + q + 1 =341 (4)
Подставим (3) в (4)
q⁴ + 85 = 341
q⁴ = 256
q₁ = 4;
Проверим

q₂ = -4 не подходит

В решении.
Объяснение:
Дана функция y=√x.
а) Чтобы определить принадлежность точки графику, нужно известные значения х и у (координаты точки) подставить в уравнение. Если левая часть равна правой, то принадлежит, и наоборот.
у=√х
1) А(0,04; 0,2)
0,2 = √0,04
0,2 = 0,2, проходит.
2) В(81; -9)
-9 = ±√81
-9 = -9, проходит.
3) С(54; 3√6)
3√6 = √54
3√6 = √9*6
3√6 = 3√6, проходит.
б) х∈ [0; 16]
y=√0 = 0;
y=√16 = 4;
При х∈ [0; 16] у∈ [0; 4].
в) у∈ [7; 13]
у = √х
7=√х х=7² х=49;
13=√х х=13² х=169.
При х∈ [49; 169] у∈ [7; 13].
ответ: q=4 .