М
Молодежь
К
Компьютеры-и-электроника
Д
Дом-и-сад
С
Стиль-и-уход-за-собой
П
Праздники-и-традиции
Т
Транспорт
П
Путешествия
С
Семейная-жизнь
Ф
Философия-и-религия
Б
Без категории
М
Мир-работы
Х
Хобби-и-рукоделие
И
Искусство-и-развлечения
В
Взаимоотношения
З
Здоровье
К
Кулинария-и-гостеприимство
Ф
Финансы-и-бизнес
П
Питомцы-и-животные
О
Образование
О
Образование-и-коммуникации
даниля3
даниля3
08.02.2020 12:20 •  Алгебра

Виразити із системи 4х-5у=7 5х-4у=2 із першого рівняння змінну Х через змінну У НАПИШИТЕ НА ЛИСТКЕ ​

👇
Ответ:
katarina1002
katarina1002
08.02.2020

Відповідь:

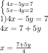
\left \{ {{4x-5y=7} \atop {5x-4y=2}} \right. \\1)4x-5y=7\\4x=7+5y\\\\x=\frac{7+5y}{4}

Пояснення:

4,6(94 оценок)
Открыть все ответы
Ответ:
vipyanalukyan
vipyanalukyan
08.02.2020
X₁=(-19-√529)/17, x₁=-3.
x₂=(-19+√529)/14, x₂=2/7

D=0, x=-14/2, x=-7  ⇒a=1, c=0, b=14

           +                +
|>x
                    -7

D=0, x=-12/8, x=-1,5

b=12,   a=4 (8=2*4⇒a=4), c=0
     +                                  +
|>x
                    -1,5


x₁=-0,7. x₂=0,9
{x₁+x₂=-b       {-0,7+0,9=-b
 x₁ *x₂=c         -0,7*0,9=c
b=-0,2.   c=-0,63
x²-0,2x-0,63=0
      +              -                +
||>x
            -0,7             0,9


x₁=3, x₂=2/7
     +              -            +
||>x
           2/7             3
4,5(27 оценок)
Ответ:
tivaschhenko
tivaschhenko
08.02.2020
Пусть а - первое число, b - второе число. 20% = 0,2; 120% = 1,2. Составим систему уравнений по условию задачи и решим её методом алгебраического сложения:
0,2a - 1,2b = 0,6
1,2a - 0,2b = 21,1

1,4a - 1,4b = 21,7
Разделим обе части уравнения на 1,4
a - b = 15,5 > a = 15,5 + b

Подставим значение а в любое уравнение системы
0,2(15,5 + b) - 1,2b = 0,6            1,2(15,5 + b) - 0,2b = 21,1
3,1 + 0,2b - 1,2b = 0,6                 18,6 + 1,2b - 0,2b = 21,1
0,2b - 1,2b = 0,6 - 3,1                  1,2b - 0,2b = 21,1 - 18,6
- b = - 2,5                                      b = 2,5 - второе число
b = 2,5 - второе число

Подставим значение b в любое уравнение системы
0,2а - 1,2 * 2,5 = 0,6                      1,2а - 0,2 * 2,5 = 21,1
0,2а - 3 = 0,6                                  1,2а - 0,5 = 21,1
0,2а = 0,6 + 3                                 1,2а = 21,1 + 0,5
0,2а = 3,6                                        1,2а = 21,6
а = 3,6 : 0,2                                      а = 21,6 : 1,2
а = 18 - первое число                     а = 18 - первое число
ответ: числа 18 и 2,5.

Проверка:
0,2 * 18 - 1,2 * 2,5 = 0,6               1,2 * 18 - 0,2 * 2,5 = 21,1
3,6 - 3 = 0,6                                  21,6 - 0,5 = 21,1
0,6 = 0,6                                       21,1 = 21,1
4,4(99 оценок)
Новые ответы от MOGZ: Алгебра
logo
Вход Регистрация
Что ты хочешь узнать?
Спроси Mozg
Открыть лучший ответ