М
Молодежь
К
Компьютеры-и-электроника
Д
Дом-и-сад
С
Стиль-и-уход-за-собой
П
Праздники-и-традиции
Т
Транспорт
П
Путешествия
С
Семейная-жизнь
Ф
Философия-и-религия
Б
Без категории
М
Мир-работы
Х
Хобби-и-рукоделие
И
Искусство-и-развлечения
В
Взаимоотношения
З
Здоровье
К
Кулинария-и-гостеприимство
Ф
Финансы-и-бизнес
П
Питомцы-и-животные
О
Образование
О
Образование-и-коммуникации
BlackL706
BlackL706
09.08.2020 20:17 •  Алгебра

Найти значение выражения ax-2a-3x+6 если а=4,x=1,используя разложения на множители

👇
Ответ:
aaaaaa29
aaaaaa29
09.08.2020

-1

Объяснение:

Принцип простой, выносим множители, ориентир тут а, так как тут только пара одночленов, в которых он есть. Выносим из них а, а со второй пары вынесем -3.

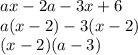
ax-2a-3x+6\\a(x-2)-3(x-2)\\(x-2)(a-3)\\

В итоге, после вынесения а и -3 оказалось, что теперь (х-2) тоже общий множитель, выносим его

теперь легко подставить значения

(1-2)(4-3)=-1*1=-1

4,4(23 оценок)
Открыть все ответы
Ответ:
влад2162
влад2162
09.08.2020

5 (км/час) скорость пешехода.

18 (км/час) скорость велосипедиста.

Объяснение:

ЗпунктуA в пункт B вийшов пішохід. Через 1 годину на зустріч йому з пункту B виїхав велисопедист. Відстань між пунктами 51 км. Відомо, що швидкість велосиредиста на 13 км/год більша за швидкість пішохода. Знайдіть швидкість велосипедиста і швидкість пішохода якщо до зустрічі пішохід був у дорозі 3 год.

Формула движения: S=v*t

S - расстояние            v - скорость             t – время

х - скорость пешехода.

х+13 - скорость велосипедиста.

3 часа -время  пешехода до встречи.

2 часа - время велосипедиста до встречи.

Расстояние между пунктами А и В 51 км, уравнение:

х*3+(х+13)*2=51

3х+2х+26=51

5х=51-26

5х=25

х=5 (км/час) скорость пешехода.

5+13=18 (км/час) скорость велосипедиста.

4,7(92 оценок)
Ответ:
polisha014
polisha014
09.08.2020
1) 143°
π/2<143°<π  угол принадлежит второй четверти, значит
sin143° >0 "+"
cos 143°<0 "-"
tg 143<0 "-"
ctg 143<0 "-"

2)-243°
π<243<3π/2 угол принадлежит третьей четверти
sin(-243)=-sin 243
sin 243<0
-sin 243>0  "+"
cos(-243)=cos 243
cos(- 243)<0 "-"
tg (-243)<0
ctg (-243)<0

3)735
sin (735)=sin(720+15)=sin(4π+15)=sin 15 >0 "+"
cos (735)=cos(720+15)=cos(4π+15)=cos 15 >0
tg 735>0 "+"
ctg 735>0 "+"

4)-753
sin (-753)=-sin(720+33)=-sin(4π+33)=-sin 33<0 "-"
cos(-753)=cos(720+33)=cos(4π+33)=cos33>0 "+"

5)300
sin300=sin (360-60)=sin(2π-60)=-sin 60<0 "-"
cos300=cos (360-60)=cos(2π-60)=sin 60>0 "+"
tg 300<0 "-"
ctg 300<0 "-"
4,6(32 оценок)
Новые ответы от MOGZ: Алгебра
logo
Вход Регистрация
Что ты хочешь узнать?
Спроси Mozg
Открыть лучший ответ